Soojin
PROBLEMAS RESUELTOS (TEMAS 1-3)
PROBLEMAS-RESULTOS-TEMA-1.pdf
12 páginas
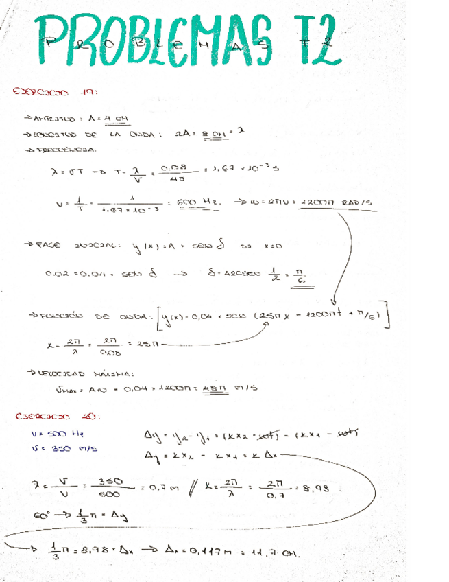
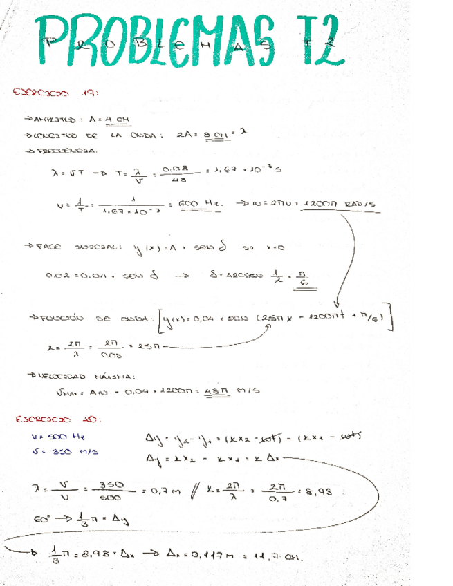
PROBLEMAS-RESUELTOS-TEMA-2.pdf
11 páginas
PROBLEMAS-RESUELTOS-TEMA-3.pdf
16 páginas
Apuntes - FORMULARIO FÍSICA.pdf
pdf
9 páginas
343
5
Apuntes - TEMA-1-MOVIMIENTO-OSCILATORIO.pdf
10 páginas
331
4
Apuntes - Fisica.pdf
5 páginas
359
3
Apuntes - TEMA-2-ONDAS-MECANICAS.pdf
8 páginas
245
2
Apuntes - TEMA-3-ELECTROMAGNETISMO.pdf
23 páginas
223
Apuntes - TEMA2.pdf
143
0
Apuntes - TEMA3.pdf
20 páginas
117
1
Apuntes - PROBLEMAS-RESULTOS-TEMA-1.pdf
276
Apuntes - TEMA1.pdf
149
Apuntes - Resumen_Tema2.pdf
13 páginas
66
Apuntes - PROBLEMAS-RESUELTOS-TEMA-3.pdf
213
10
Prácticas - P1-OsciladorAmortiguadoB.pdf
6 páginas
239
Apuntes - PROBLEMAS-RESUELTOS-TEMA-2.pdf
203
Prácticas - resumen-practicas-de-fisica.pdf
4 páginas
214
Apuntes - fisica.docx
docx
92
Apuntes - TEMA.pdf
105
Apuntes - Formulas-fisica.pdf
9
Apuntes - EXAMEN-PRACTICAS-FISICA-2019-2020.pdf
2 páginas
222
Prácticas - PRACTICA-4.-LEY-DE-FARADAY.pdf
3 páginas
179
Apuntes - TEMA5.pdf
75