
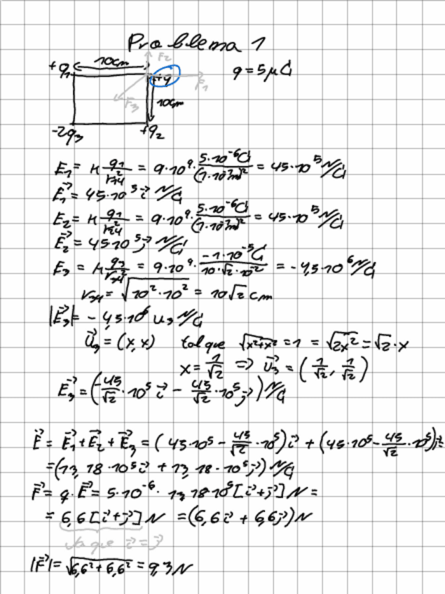
Problemes Tema 1 (electromagnetisme)
Portada
Asignatura
account_balance
Grado en Ingeniería Informática (UDL)
Fecha de subida
03 nov 2022
Categoría
ejercicios
Etiquetas
content_copy

Portada
Asignatura
Grado en Ingeniería Informática (UDL)
Fecha de subida
03 nov 2022
Categoría
ejercicios
Etiquetas