Practica-3-Full-de-resultats-de-lequacio-de-Nernst.pdf

llumrg

Pràctiques Fisiologia General

12 archivos·

Questions-Resoltes-P1.pdf

9 páginas

Practica-2-Patch-Clamp.pdf

2 páginas

Practica-3-Full-de-resultats-de-lequacio-de-Nernst.pdf

3 páginas

Practica-4-Excitabilitat-cel.lular.pdf

4 páginas

Practica-5-Propagacio-del-potencial-daccio.pdf

1 página

Practica-6-Electromiografia.pdf

3 páginas

Practica-9-Contraccio-muscular-esqueletica.pdf

5 páginas

Practica-10-Mecanismes-de-contraccio-de-muscul-llis.pdf

2 páginas

Practica-10-Fisio-General.xlsx

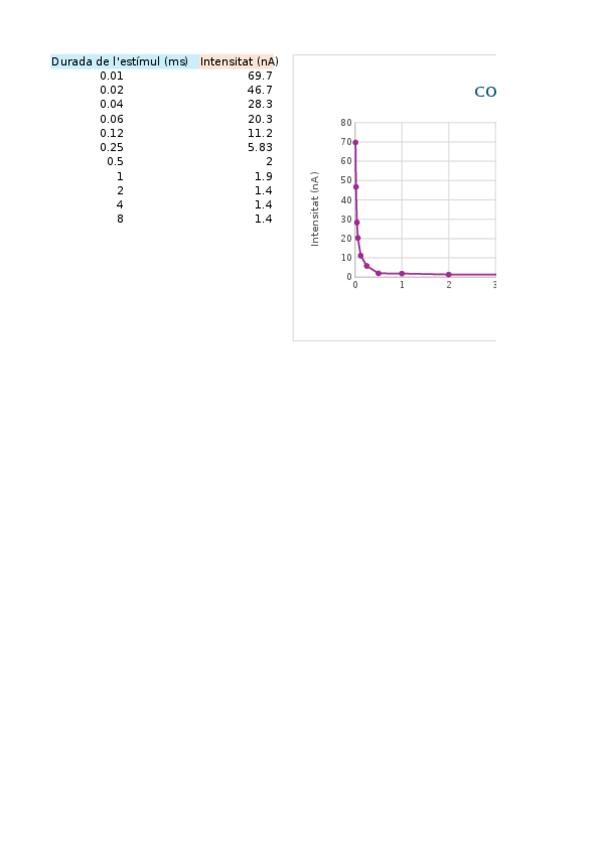
P4-Corba-intensitat-temps.xlsx

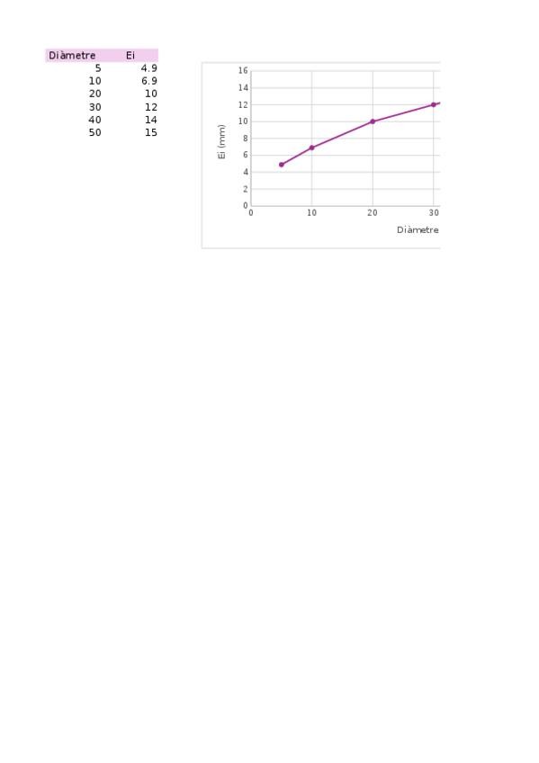
P5-Corba-espai-internodal-diametre.xlsx

P9-Corba-longitud-tensio.xlsx

content_copy

Archivos recomendados