Portada
Asignatura
Grado en Ingeniería de Sistemas de Telecomunicación (UAB)
Fonaments de Senyals I Sistemes
Fecha de subida
23 jun 2017
Categoría
ejercicios
Etiquetas
Apuntes - PARCIAL-2022-RESUELTO.pdf
pdf
27 páginas
180
0
Apuntes - Apunts-FSiS-Complet.pdf
28 páginas
11
Exámenes - PARCIAL-2022-RESUELTO.pdf
151
Apuntes - FINAL-2021-RESUELTO.pdf
26 páginas
172
1
Apuntes - PARCIAL-2021-RESUELTO.pdf
18 páginas
159
Apuntes - FINAL-2022-RESUELTO.pdf
Exámenes - FINAL-2022-RESUELTO.pdf
24 páginas
130
Apuntes - SS.pdf
10 páginas
124
Exámenes - Control-T4-2023-SOLUCIONAT.pdf
40 páginas
131
Apuntes - Apunts tema 3.pdf
9 páginas
119
Exámenes - PARCIAL-2021-RESUELTO.pdf
19 páginas
107
Exámenes - FINAL-2021-RESUELTO.pdf
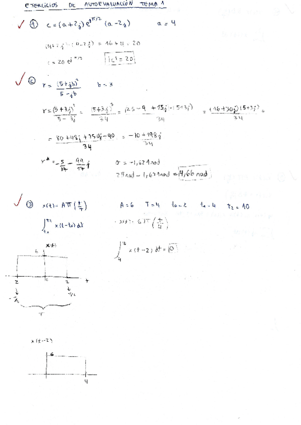
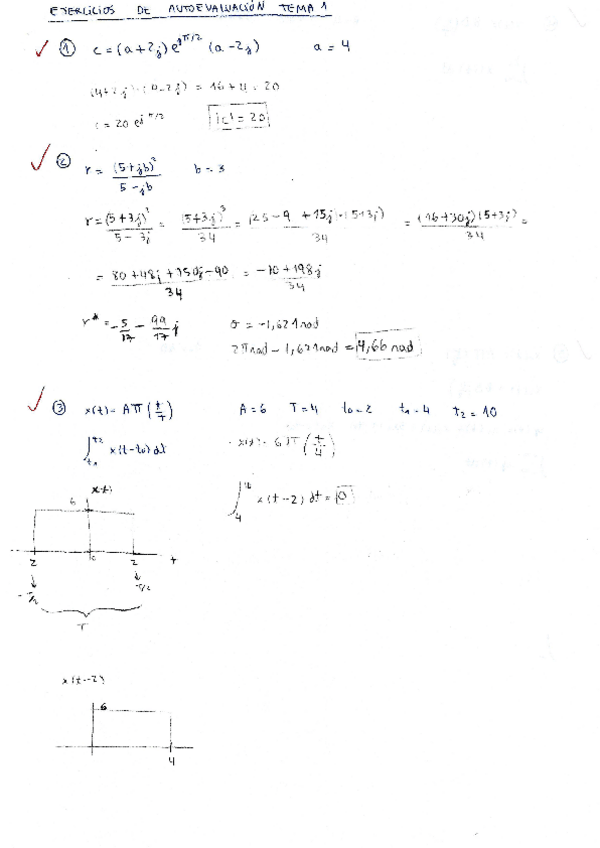
Ejercicios - Autoevaluacion1.pdf
6 páginas
122
Apuntes - Apunts Fourier.pdf
94
30 páginas
106
Ejercicios - SS-P1.pdf
8 páginas
111
Apuntes - Resum-FSiS-Tema-4-i-5.pdf
3 páginas
97
2
Apuntes - SS-T2.pdf
15 páginas
69
Trabajos - RESUM parcial 2.pdf
68