Todo
Apuntes
chevron_left
chevron_right

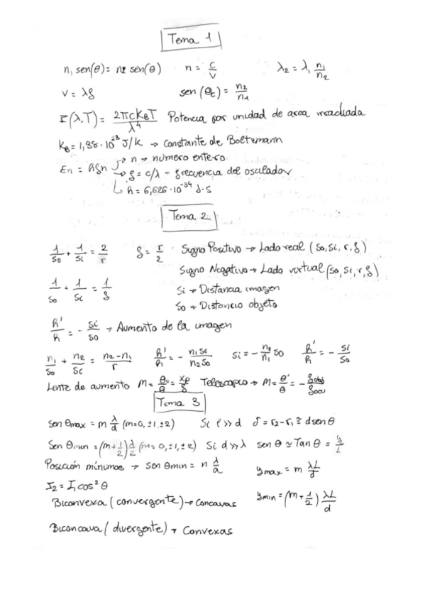
He publicado nuevos apuntes de 2º Fotónica: Formulario-Fotonica.pdf

2 páginas
¡Estás al día!

¡Estás al día!

Has visto todos los archivos