chevron_left
chevron_right
Todo
Apuntes
Ejercicios
Exámenes
chevron_left
chevron_right

He publicado nuevos apuntes de 2º Fundamentos de Biomecánica: BIOMECANICA-1.pdf

38 páginas

Curso 23/24

45 páginas

He publicado nuevos examenes de 2º Fundamentos de Biomecánica: EXAMEN-2024.pdf

3 páginas

He publicado nuevos apuntes de 2º Fundamentos de Biomecánica: ESQUEMA-CICLISMO-II.pdf

1 página

He publicado nuevos apuntes de 2º Fundamentos de Biomecánica: ELECTROMIOGRAFIA.pdf

2 páginas

He publicado nuevos apuntes de 2º Fundamentos de Biomecánica: CICLISMO-II.pdf

4 páginas

He publicado nuevos apuntes de 2º Fundamentos de Biomecánica: CICLISMO-I.pdf

5 páginas

He publicado nuevos apuntes de 2º Fundamentos de Biomecánica: ANALISIS-DE-LA-MARCHA.pdf

4 páginas

He publicado nuevos apuntes de 2º Fundamentos de Biomecánica: TRONCO.pdf

3 páginas

He publicado nuevos apuntes de 2º Fundamentos de Biomecánica: AGILIDAD-Y-CAMBIOS-DE-DIRECCION.pdf

4 páginas

He publicado nuevos apuntes de 2º Fundamentos de Biomecánica: ANALISIS-DE-CARRERA.pdf

8 páginas

He publicado nuevos apuntes de 2º Fundamentos de Biomecánica: TEJIDOS.pdf

8 páginas

He publicado nuevos apuntes de 2º Fundamentos de Biomecánica: SALTOS-Y-RECEPCION.pdf

6 páginas

He publicado nuevos apuntes de 2º Fundamentos de Biomecánica: PRINCIPIOS-BIOMECANICOS.pdf

7 páginas

He publicado nuevos apuntes de 2º Fundamentos de Biomecánica: NATACION.pdf

4 páginas

He publicado nuevos apuntes de 2º Fundamentos de Biomecánica: MIEMBRO-INFERIOR.pdf

7 páginas

He publicado nuevos apuntes de 2º Fundamentos de Biomecánica: MIEMBRO-SUPERIOR.pdf

8 páginas

He publicado nuevos apuntes de 2º Fundamentos de Biomecánica: MATERIALES.pdf

3 páginas

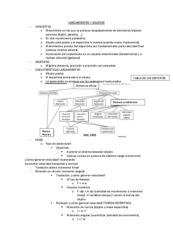
He publicado nuevos apuntes de 2º Fundamentos de Biomecánica: LANZAMIENTOS-Y-GOLPES.pdf

5 páginas

He publicado nuevos apuntes de 2º Fundamentos de Biomecánica: FUNDAMENTOS-DE-FUERZA.pdf

6 páginas

He publicado nuevos apuntes de 2º Fundamentos de Biomecánica: F.-BASICOS-DEL-EJERCICIO.pdf

5 páginas

He publicado nuevos examenes de 2º Fundamentos de Biomecánica: EXAMEN-1RA-CONVOCATORIA.pdf

4 páginas

He publicado nuevos examenes de 2º Fundamentos de Biomecánica: examen-biomecainica-valdes.pdf

22 páginas

He publicado nuevos ejercicios de 2º Fundamentos de Biomecánica: PROBLEMAS-DINAMICA.pdf

2 páginas

He publicado nuevos ejercicios de 2º Fundamentos de Biomecánica: PROBLEMAS-DE-CINEMATICA.pdf

2 páginas

He publicado nuevos ejercicios de 2º Fundamentos de Biomecánica: PROBLEMAS-CINEMATICA.pdf

2 páginas

He publicado nuevos examenes de 2º Fundamentos de Biomecánica: Examen-de-biomecanica-1.pdf

5 páginas

He publicado nuevos examenes de 2º Fundamentos de Biomecánica: APUNTES-Y-EXAMENES-BIOMECANICA.pdf

5 páginas
¡Estás al día!

¡Estás al día!

Has visto todos los archivos