T2-Ejercicios-Resueltos.pdf

alberaceituno01

Apuntes y Ejercicios Resueltos - AAG

14 archivos·

T2-Magnetostatica.pdf

2 páginas

T2-Ejercicios-Resueltos.pdf

12 páginas

T1-Electrostatica.pdf

5 páginas

T3-Electromagnetismo.pdf

3 páginas

T4-Ondas-Mecanicas.pdf

5 páginas

T4-Ejercicios-Resueltos.pdf

17 páginas

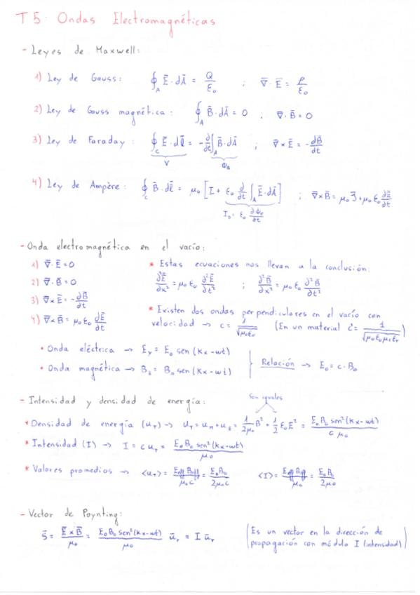
T5-Ondas-Electromagneticas.pdf

7 páginas

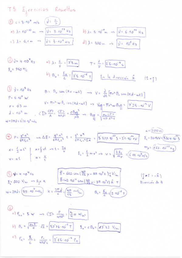
T5-Ejercicios-Resueltos.pdf

12 páginas

T6-Mecanica-Cuantica.pdf

3 páginas

T6-Ejercicios-Resueltos.pdf

15 páginas

T3-Ejercicios-Resueltos.pdf

17 páginas

T1-Ejercicios-Resueltos.pdf

17 páginas

Formulario1.pdf

2 páginas

Formulario2.pdf

2 páginas

content_copy

Archivos recomendados