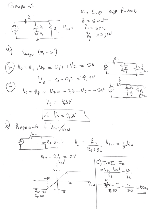
Anónimo
Portada
Asignatura
Grado en Ingeniería Mecánica (UC3M)
Fundamentos de Ingeniería Electrónica
Fecha de subida
12 may 2021
Categoría
examenes
Etiquetas
Prácticas - Practica2Sinnombre.pdf
pdf
10 páginas
258
0
Prácticas - Practica 1(hecha).pdf
8 páginas
114
Apuntes - Electronica-analogica.pdf
6 páginas
132
Exámenes - ELECTRONICA FINAL RESUELTO (27/05/2024).pdf
22 páginas
123
5
Prácticas - Copy-ENG-P3-FIE.docx
docx
56
Prácticas - PRÁCTICA 2 _1_.pdf
86
Apuntes - Electronica-digital.pdf
99
Exámenes - SpocLaboratorio.pdf
12 páginas
131
Apuntes - ANALOGICA ejs con sol 2.pdf
138 páginas
90
1
Apuntes - Electrónica.pdf
2 páginas
85
Apuntes - wuolah-free-APUNTES ELECTRONICA ANALOGICA.pdf
85 páginas
Apuntes - electronica-06-09-2021-16.pdf
127
Exámenes - Eval-ParcialEnunciado.pdf
172
Apuntes - spoc-respuestas-examen.pdf
7 páginas
139
Prácticas - P4-FIE-RESUELTA.pdf
18 páginas
227
Prácticas - ElectronicaPractica3CircuitoDriverledMosfet.pdf
130
2
Prácticas - ElectronicaPractica2AmplificadoresconOperacionales.pdf
14 páginas
133
Exámenes - Parcial-17-18-con-solucion.pdf
102
Apuntes - ANALOGICA ejs con sol 1.pdf
117 páginas
84
Apuntes - spoc-respuestas.pdf
136