aangel365
Seminarios en API (Excell)
Tareas-Excel-ANOVA-Alumno.xlsx
Seminario-API.xlsx
Seminario-API.-Frecuencias.-Archivo-Alumno.xlsx
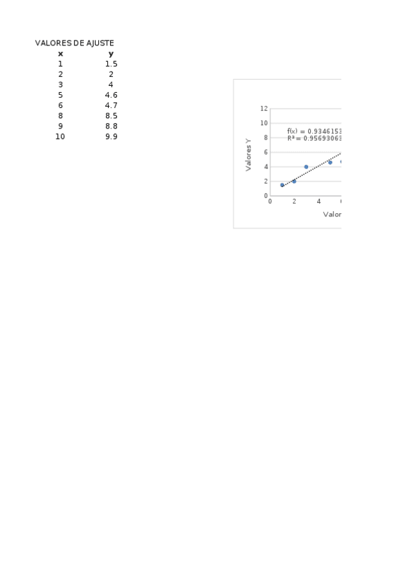
Seminario-Regresiones-Datos.xlsx
Apuntes - Examen-mates-ano-pasado.JPG
jpg
1
Apuntes - PHOTO-2022-01-26-10-29-22.JPG
Apuntes - Seminario-API.-Frecuencias.-.xlsx
xlsx
52
0
Apuntes - PHOTO-2022-01-26-10-29-22-5.JPG
Apuntes - T1-Ec.-Logaritmicas-y-exponenciales.pdf
pdf
11 páginas
73
5
Apuntes - PHOTO-2021-12-31-09-44-21.jpg
Apuntes - PHOTO-2022-01-26-10-29-22-4.JPG
Apuntes - T2-Derivadas.pdf
13 páginas
46
Ejercicios - Tareas-Excel-ANOVA-Alumno.xlsx
17
Apuntes - Seminario-API.xlsx
15
Prácticas - Practica-1.pdf
3 páginas
33
Apuntes - Seminario-API.-Distribucion-Normal-.xlsx
16
Apuntes - T3-Integrales.pdf
4 páginas
44
2
Apuntes - Seminario-API.-Descriptores.-.xlsx
14
Apuntes - Tareas-Excel-ANOVA-.xlsx
13
Apuntes - mates-api.pdf
6 páginas
Prácticas - Practica-2.pdf
28
Ejercicios - Seminario-API.xlsx
9
Ejercicios - Seminario-API.-Frecuencias.-Archivo-Alumno.xlsx
8
Ejercicios - Seminario-Regresiones-Datos.xlsx
11