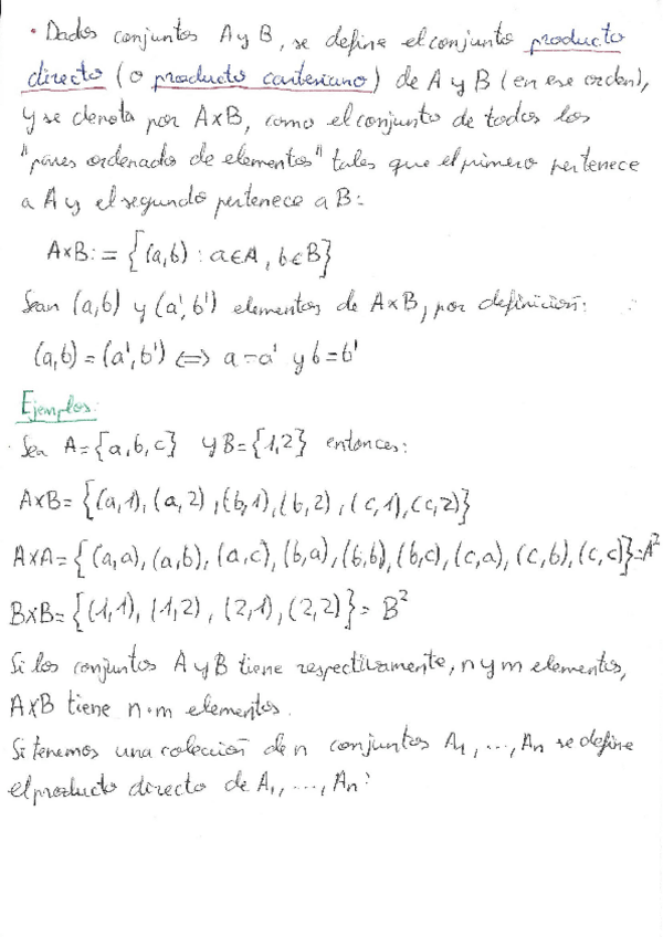
Fundamentos de Matemáticas I

chevron_left
chevron_right
Todo
Apuntes
Exámenes
chevron_left
chevron_right

He publicado nuevos examenes de 1º Fundamentos de Matemáticas I: 2-parcial-todo-15diciembre2023.pdf

6 páginas

He publicado nuevos apuntes de 1º Fundamentos de Matemáticas I: tema-4-relaciones-de-equivalencia.pdf

15 páginas
Anónimo

@Anónimo

apuntes

-

Teoría fundamentos I

He publicado nuevos apuntes de 1º Fundamentos de Matemáticas I: Teoría fundamentos I

Teoria-tema-1-2-y-3.pdf
Teoria-tema-4-completo.pdf
Teoria-tema-5.pdf
Teoria-tema-6-combinatoria-y-palomar.pdf
Teoria-tema-6-grupo-simetrico.pdf

apuntes

-

Resumen de Fundamentos de Matemáticas I

He publicado nuevos apuntes de 1º Fundamentos de Matemáticas I: Resumen de Fundamentos de Matemáticas I

Tema 1 - El lenguaje de las Matemáticas.pdf
Tema 2 - Teoría elemental de conjuntos.pdf
Tema 5 - Relaciones de orden.pdf
Tema 7 - Números.pdf
Tema 3 - Aplicaciones.pdf
Tema 6 - Combinatoria.pdf

He publicado nuevos apuntes de 1º Fundamentos de Matemáticas I: Resumen de apuntes de Fundamentos de Matemáticas I.pdf

90 páginas
¡Estás al día!

¡Estás al día!

Has visto todos los archivos