2018-19-control-3.pdf

MarSanchez1

EXÁMENES RESUELTOS

19 archivos·

2015-16-control-3.pdf

1 página

2015-16-control-2.pdf

2 páginas

2015-16-control-1.pdf

2 páginas

2015-16-ex-julio.pdf

3 páginas

2015-16-ex-enero.pdf

3 páginas

2016-17-ex-enero.pdf

3 páginas

2016-17-ex-julio.pdf

3 páginas

2016-17-control-1.pdf

3 páginas

2016-17-control-2.pdf

2 páginas

2016-17-control-3.pdf

1 página

2017-18-ex-julio.pdf

3 páginas

2017-18-control-2.pdf

2 páginas

2018-19-ex-enero.pdf

4 páginas

2018-19-control-2.pdf

2 páginas

2018-19-control-1.pdf

2 páginas

2017-18-ex-enero.pdf

3 páginas

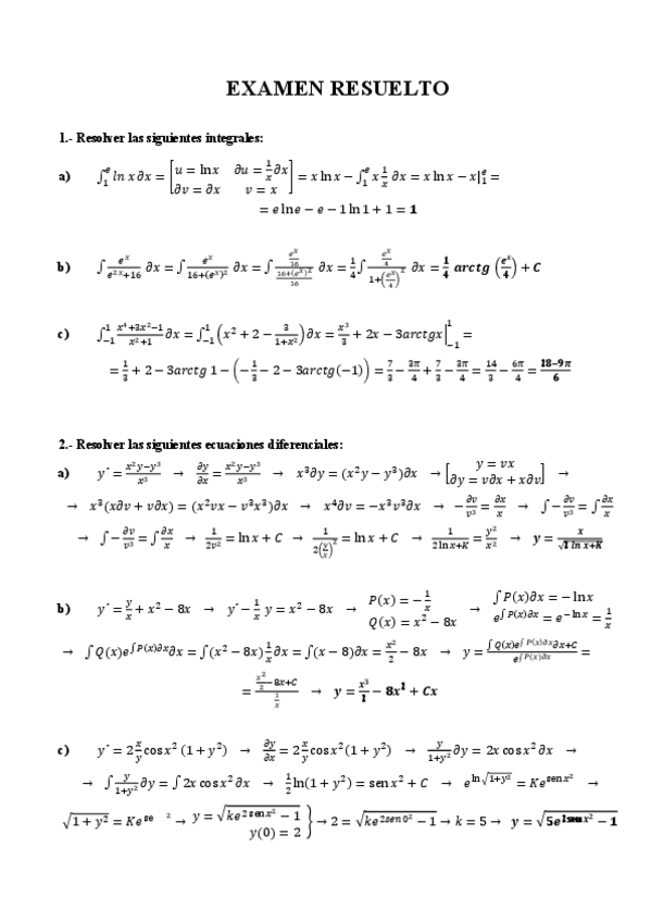
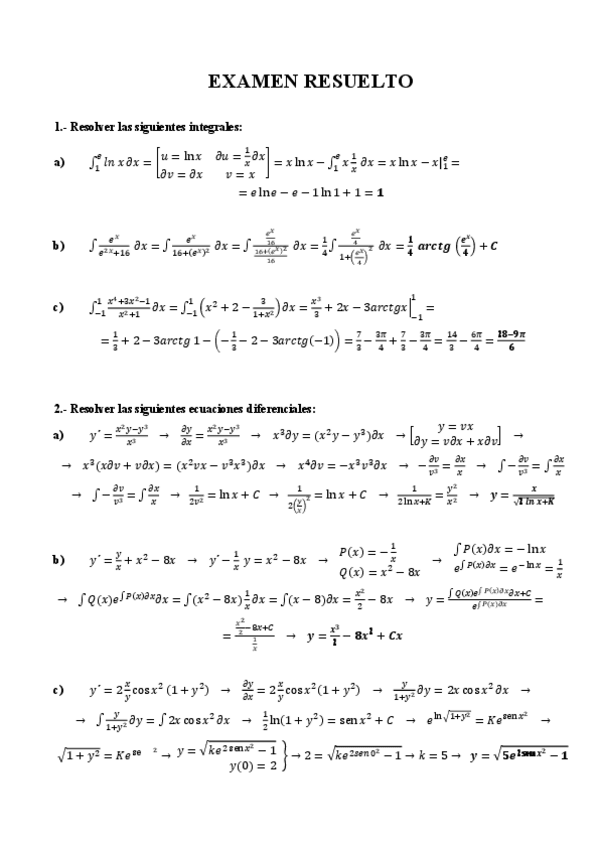
2018-19-control-3.pdf

1 página

2017-18-control-3.pdf

2 páginas

2017-18-control-1.pdf

2 páginas

content_copy

Archivos recomendados