garem
Examen2023 - Resuelto
EnunciadoExamenFdM-Ordinario-2023.pdf
4 páginas
TestTeoriaResuelto2023.pdf
2 páginas
SolucionarioTestTeoria2023.pdf
3 páginas
Problema1-Resuelto.pdf
1 página
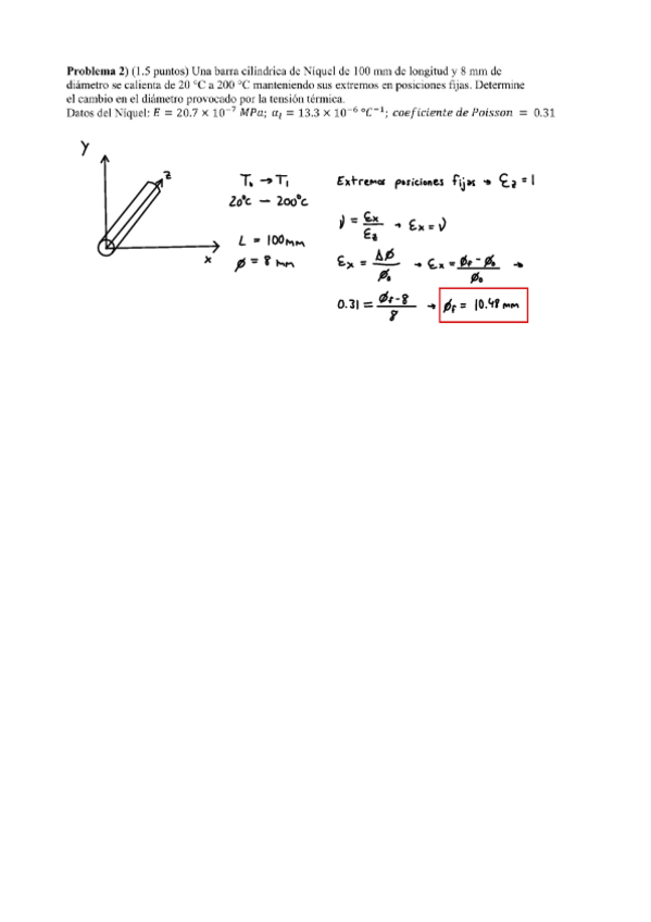
Problema2-Resuelto.pdf
Problema3-Resuelto.pdf
Problema4-Resuelto.pdf
Exámenes - EnunciadoExamenFdM-Ordinario-2023.pdf
pdf
173
2
Exámenes - TestTeoriaResuelto2023.pdf
177
1
Prácticas - Practica 2 informe.docx
docx
22
0
Exámenes - Problema3-Resuelto.pdf
126
Apuntes - Resumen-contenidos-Tema-2-Tema-7.pdf
10 páginas
122
Exámenes - EXAMEN-2023-RESUELTO.pdf
109
Ejercicios - Ejercicios-de-examenes-RESUELTOS-2019.pdf
20 páginas
110
Test - TestTema2-EstructuraMateriales.pdf
93
Exámenes - Problema4-Resuelto.pdf
Exámenes - SolucionarioTestTeoria2023.pdf
108
Exámenes - Problema1-Resuelto.pdf
112
Test - TestTema3y4-ImperfeccionesDifusionyCambiosdeFase.pdf
5 páginas
80
Exámenes - Examen-2019.jpg
jpg
56
Exámenes - Problema2-Resuelto.pdf
Ejercicios - Relacion-tema-2.pdf
14 páginas
53
Test - TestTema5-PropiedadesMecanicas.pdf
74
Test - TestTema7-PropiedadesMagneticas.pdf
Test - TestExamenes.pdf
21 páginas
Test - TestTema6-PropiedadesElectricas.pdf
71
Ejercicios - Relacion-tema-4.pdf
25 páginas
70