Portada
Asignatura
Grado en Ingeniería Aeroespacial (UCA)
Fundamentos de Propulsión
Fecha de subida
01 ago 2023
Categoría
examenes
Etiquetas
Exámenes - TEST-PROPU.docx
docx
153
0
Exámenes - FP_148-end.pdf
pdf
107 páginas
157
Exámenes - Preguntas-teoria-tipo-test.pdf
4 páginas
324
Exámenes - Parcial 1 - Problemas.pdf
5 páginas
203
Exámenes - TEST-PROPULSION.pdf
13 páginas
315
2
Apuntes - Testresfeb19.pdf
190
Exámenes - Exámenes Propulsión - TEORÍA.pdf
20 páginas
159
Apuntes - Apuntes PROPULSIÓN.pdf
65 páginas
98
Test - Test resuelto.pdf
3 páginas
182
Apuntes - Fundamentos de Propulsión (1er parcial).pdf
24 páginas
85
Exámenes - FP_1-28.pdf
28 páginas
97
Exámenes - TODOS-TESTS-CONVOCATORIAS-PROPULSION.pdf
25 páginas
92
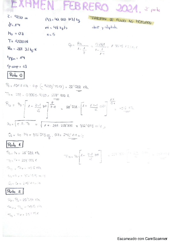
Exámenes - Parcial 2 - Turbofan Solucion.pdf
115
Apuntes - Apuntes_javisky.pdf
72 páginas
86
Exámenes - Parcial hélices 2018.pdf
148
1
Apuntes - Fundamentos de Propulsión (2º parcial).pdf
46 páginas
93
Prácticas - Archivo Excel.zip
zip
53
Exámenes - Test-T2-feb23.pdf
130
Ejercicios - Ejercicios-Froude.pdf
8 páginas
305
Exámenes - Parcial 1 - Teoria.pdf
2 páginas
107