LMM2002
SVD
Ejercicio-11-SVD.pdf
2 páginas
Ejercicio-10-SVD.pdf
Ejercicio-1-SVD.pdf
3 páginas
Ejercicio-5-SVD.pdf
Ejercicio-6-SVD.pdf
Ejercicio-12-c-SVD.png
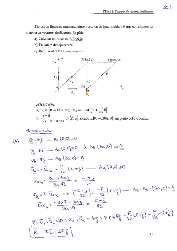
Ejercicio-21-SVD.pdf
Ejercicio-6-y-10-SVD.pdf
6 páginas
Ejercicio-12-a-y-b-SVD.png
Ejercicios - Tema-4-estatica-de-fluidos.pdf
pdf
13 páginas
48
0
Ejercicios - Tema-5-cinematica-solido-rigido.pdf
11 páginas
38
Apuntes - Primer-parcial-TODO-ejercicios-resueltos-resumenes-examenes-anteriores-resueltos.pdf
53 páginas
31
1
Ejercicios - SVD-1er-parcial.pdf
20 páginas
25
Apuntes - apuntesvariospracticaslab.pdf
20
Apuntes - Toda-Teoria-1er-parcial.pdf
Ejercicios - Tema-3-1er-parcial.pdf
16 páginas
18
Apuntes - Teoria-Parcial-1-Fisica.pdf
13
Ejercicios - Tema2-1er-parcial.pdf
Apuntes - preguntas-teoria-de-fisica.pdf
17
Prácticas - hojaresumenpracticalab3.pdf
1 página
Apuntes - Tema-3-Geometria-de-masas.pdf
5 páginas
16
Apuntes - FormularioCinematicaSolidoRigido.pdf
4 páginas
14
Apuntes - Formulario-Estatica-de-Fluidos-Hidrostatica.pdf
19
Apuntes - Fisica.pdf
7 páginas
Apuntes - Ejercicio-11-SVD.pdf
Apuntes - Parcial-1-2024-ejercicios-resueltos-y-corregidos.pdf
21 páginas
10
Apuntes - Seminario-SVD.pdf
Apuntes - Formulario-Estatica-de-FluidosHidroestatica.pdf
9
Apuntes - Fisica-Primer-Parcial.pdf