Portada
Asignatura
Doble Grado en Ingeniería Informática y Administración y Dirección de Empresas (UGR)
Fundamentos Físicos y Tecnológicos
Fecha de subida
07 dic 2020
Categoría
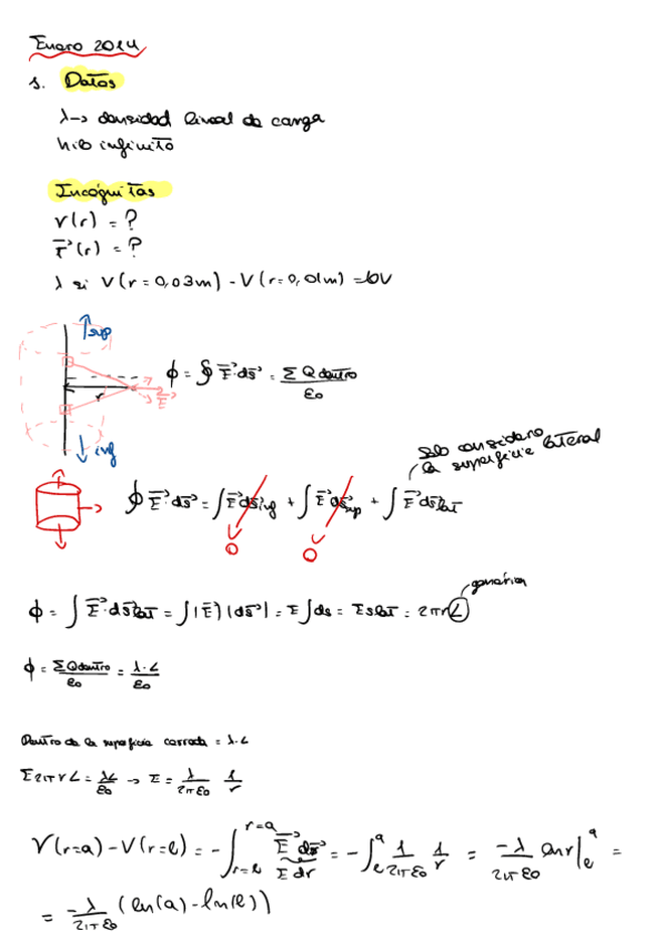
ejercicios
Etiquetas
Apuntes - Practica-3.zip
zip
72
0
Apuntes - Practica4FFT.zip
90
Prácticas - Practica1FFT.zip
58
Apuntes - Practica2FFT.zip
53
Exámenes - 2023EneroResuelto-mios.pdf
pdf
18 páginas
1
Exámenes - 2022EneroResuelto-mios.pdf
17 páginas
48
Apuntes - 1-RESUMEN-GENERAL-FISICA.pdf
24 páginas
49
Prácticas - Prelaboratorio-practica-5-FFT-Prelaboratorio-practica-5-FFT.pdf
12 páginas
61
Apuntes - MUCHOS-EXAMENES.pdf
38 páginas
39
Apuntes - Macrorresumen Fisica.pdf
78 páginas
34
Exámenes - FFTEnero2020.pdf
13 páginas
59
Apuntes - 2022-ENERO-semiresuelto-FFT.pdf
5 páginas
37
Apuntes - Apuntes-continua.pdf
4 páginas
33
Apuntes - 2-RESUMEN-GENERAL-FISICA.pdf
35
Apuntes - exam29enero.pdf
2 páginas
65
Apuntes - Apuntes-semiconductores.pdf
3 páginas
25
Apuntes - Resumen-tema-4-FFT-Dispositivos-Semiconductores.pdf
26
Ejercicios - Tutoria-grupal.pdf
7 páginas
54
Exámenes - solucionexamenfebrero2013.pdf
8 páginas
36
Exámenes - Correccionexamen1112feb1.pdf
10 páginas