Portada
Asignatura
Grado en Ingeniería Civil (UA)
Fundamentos Matemáticos de la Ingeniería I
Fecha de subida
16 nov 2025
Categoría
apuntes
Información
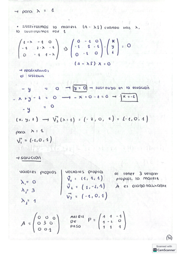
Resumenes de Gauss, Gauss-Jordan, cambio de base, combinaciones lineales, etc
Etiquetas
#Resumen 2 cuatrimestre
Exámenes - 20-21.pdf
pdf
2 páginas
24
1
Apuntes - Mates1RepasoDiagonalizacion.pdf
16 páginas
6
0
Exámenes - 13-14.pdf
1 página
26
Apuntes - Mates1MatricesPARTE6.pdf
22 páginas
Apuntes - Mates1MatricesPARTE3-1.pdf
15 páginas
5
Ejercicios - ejercicio-1.pdf
16
Apuntes - Mates1MatricesPARTE5.pdf
10 páginas
4
Apuntes - Mates1MatricesPARTE4.pdf
13 páginas
Apuntes - Mates1RepasoCambioDeBase.pdf
9 páginas
3
Exámenes - 15-16.pdf
11
Exámenes - 19-20.pdf
Apuntes - Mates1MatricesPARTE1-2.pdf
2
Exámenes - 15-164.pdf
10
Exámenes - 15-162.pdf
8
Ejercicios - ejercicio-4.pdf
Ejercicios - ejercicio-10.pdf
Ejercicios - ejercicio-9.pdf
Ejercicios - ejercicio-8.pdf
Ejercicios - ejercicio-7.pdf
7
Ejercicios - ejercicio-6.pdf
Información
Resumenes de Gauss, Gauss-Jordan, cambio de base, combinaciones lineales, etc