Fundamentos y Aplicación del Control de Calidad

chevron_left
chevron_right
Todo
Apuntes
Ejercicios
Exámenes
Trabajos
chevron_left
chevron_right

APUNTES COMPLETOS SEMINARIOS

24 páginas

He publicado nuevos examenes de 3º Fundamentos y Aplicación del Control de Calidad: EJERCICIO-2-examen.xls

excel

He publicado nuevos examenes de 3º Fundamentos y Aplicación del Control de Calidad: EJERCICIO-1-examen.xlsx

excel

He publicado nuevos apuntes de 3º Fundamentos y Aplicación del Control de Calidad: Excels-Calidad.xlsx

excel

He publicado nuevos apuntes de 3º Fundamentos y Aplicación del Control de Calidad: EJERCICIO-examen.xlsx

excel

apuntes

-

Diagramas CEDAC

He publicado nuevos apuntes de 3º Fundamentos y Aplicación del Control de Calidad: Diagramas CEDAC

ASPECTOS-DE-CALIDAD-SOBRE-EL-COLOR-DE-LONCHEADOS-DE-JAMON-SERRANO.pdf
Una-entrevista-de-trabajo-de-calidad.pdf

He publicado nuevos ejercicios de 3º Fundamentos y Aplicación del Control de Calidad: Diagrama-CEDAC.pdf

2 páginas

He publicado nuevos ejercicios de 3º Fundamentos y Aplicación del Control de Calidad: Plan-calidfad.pdf

10 páginas

He publicado nuevos ejercicios de 3º Fundamentos y Aplicación del Control de Calidad: ACTIVIDAD-DISENO-EXPERIMENTAL.pdf

3 páginas

ejercicios

-

Fundamentos y Aplicación del Control de Calidad

He publicado nuevos ejercicios de 3º Fundamentos y Aplicación del Control de Calidad: Fundamentos y Aplicación del Control de Calidad

Ejercicio-Algoritmo-de-Yates.pdf

He publicado nuevos trabajos de 3º Fundamentos y Aplicación del Control de Calidad: ACTIVIDAD-COMPLEMENTARIA-EXAMEN.pdf

7 páginas

He publicado nuevos trabajos de 3º Fundamentos y Aplicación del Control de Calidad: Ejercicio-Plan-de-Calidad.pdf

10 páginas

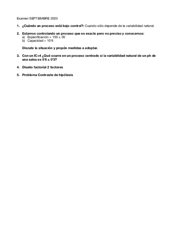
He publicado nuevos examenes de 3º Fundamentos y Aplicación del Control de Calidad: Examen-septiembre-2023.pdf

1 página
Anónimo

@Anónimo

He publicado nuevos trabajos de 3º Fundamentos y Aplicación del Control de Calidad: Trabajo-Diagrama-CEDAC.pdf

5 páginas
Anónimo

@Anónimo

He publicado nuevos trabajos de 3º Fundamentos y Aplicación del Control de Calidad: Problema-de-mezclas..pdf

2 páginas
Anónimo

@Anónimo

He publicado nuevos trabajos de 3º Fundamentos y Aplicación del Control de Calidad: Investigacion-sobre-la-norma-ISO-2859.pdf

5 páginas
Anónimo

@Anónimo

He publicado nuevos trabajos de 3º Fundamentos y Aplicación del Control de Calidad: Ejercicio limites de control.pdf

7 páginas

He publicado nuevos trabajos de 3º Fundamentos y Aplicación del Control de Calidad: ZUMO-DE-FRUTASCALIDAD-DIAGRAMA-CEDAC.pdf

6 páginas

He publicado nuevos trabajos de 3º Fundamentos y Aplicación del Control de Calidad: ULTIMO-TRABAJO-CALIDAD-MATERIALIZACION-DE-LOS-ESFUERZOS-DE-CONTROL.pdf

6 páginas

He publicado nuevos trabajos de 3º Fundamentos y Aplicación del Control de Calidad: TRABAJO-CALIDAD-GRAFICO-DE-CONTROL.pdf

10 páginas

He publicado nuevos trabajos de 3º Fundamentos y Aplicación del Control de Calidad: APROXIMACION-LINEAL-DE-LOS-DISENOS-EXPERIMENTALES-DE-MEZCLASLORENA-RUIZ.pdf

3 páginas

He publicado nuevos trabajos de 3º Fundamentos y Aplicación del Control de Calidad: ALGORITMO-DE-YATE-LORENA-RUIZ.pdf

2 páginas

He publicado nuevos apuntes de 3º Fundamentos y Aplicación del Control de Calidad: EXAMEN-CONTROL.pdf

3 páginas

apuntes

-

Apuntes completos 2021

He publicado nuevos apuntes de 3º Fundamentos y Aplicación del Control de Calidad: Apuntes completos 2021

leccion-1.pdf
leccion-2.pdf
leccion-3.pdf
LECCION-4.pdf
Leccion-5.pdf
Anónimo

@Anónimo

He publicado nuevos apuntes de 3º Fundamentos y Aplicación del Control de Calidad: Temario-Completo-Control-de-Calidad.pdf

26 páginas

He publicado nuevos examenes de 3º Fundamentos y Aplicación del Control de Calidad: examen-calidad.pdf

2 páginas

ejercicios

-

Actividades clase y seminarios

He publicado nuevos ejercicios de 3º Fundamentos y Aplicación del Control de Calidad: Actividades clase y seminarios

ACTIVIDAD-EXTRA.pdf
DISENO-DEL-PLAN-DE-MEJORA-DE-CALIDAD-DE-LAS-BOLSAS-DE-PATATAS-FRITAS.pdf
NORMAS-MILITARES.pdf
PLAN-DE-MEJORA-DEL-KETCHUP.pdf

He publicado nuevos apuntes de 3º Fundamentos y Aplicación del Control de Calidad: EJERCICIO-DE-YATE.docx

word

He publicado nuevos apuntes de 3º Fundamentos y Aplicación del Control de Calidad: Seminarios-con-ejemplos-resueltos.pdf

pdf

He publicado nuevos apuntes de 3º Fundamentos y Aplicación del Control de Calidad: F.pdf

55 páginas

apuntes

-

Control de Calidad

He publicado nuevos apuntes de 3º Fundamentos y Aplicación del Control de Calidad: Control de Calidad

EXAMEN-CONTROL.pdf
Algoritmo.pdf
teoria-FAC.pdf
Anónimo

@Anónimo

He publicado nuevos apuntes de 3º Fundamentos y Aplicación del Control de Calidad: Temario-control-de-calidad.pdf

18 páginas

He publicado nuevos ejercicios de 3º Fundamentos y Aplicación del Control de Calidad: ketchup.pdf

5 páginas

He publicado nuevos ejercicios de 3º Fundamentos y Aplicación del Control de Calidad: Tarea-2.pdf

3 páginas

He publicado nuevos examenes de 3º Fundamentos y Aplicación del Control de Calidad: Examen-Enero-2021-Calidad.pdf

1 página

He publicado nuevos examenes de 3º Fundamentos y Aplicación del Control de Calidad: EXAMEN-FACC.pdf

2 páginas

He publicado nuevos apuntes de 3º Fundamentos y Aplicación del Control de Calidad: PREGUNTAS-FEBRERO-CALIDAD.pdf

1 página

He publicado nuevos apuntes de 3º Fundamentos y Aplicación del Control de Calidad: PREGUNTAS-ENERO-CALIDAD.pdf

1 página

He publicado nuevos apuntes de 3º Fundamentos y Aplicación del Control de Calidad: Teoria.pdf

29 páginas

He publicado nuevos trabajos de 3º Fundamentos y Aplicación del Control de Calidad: Diagrama CEDAC.docx

word
¡Estás al día!

¡Estás al día!

Has visto todos los archivos