Todo
Apuntes
Ejercicios
chevron_left
chevron_right

apuntes

-

Geometria afin

He publicado nuevos apuntes de 2º Geometría Afín: Geometria afin

Demostraciones-tema-1-geometria-afin.pdf
Tema-2-geom-afin.pdf
Teoria-tema-1-geometria-afin.pdf
Teoria-tema-3-ga.pdf
Ejemplos-tema-3-ga.pdf
Demos-tema-3ga.pdf

He publicado nuevos apuntes de 2º Geometría Afín: Cuentos-y-Leyendas-de-las-Matematicas.pdf

14 páginas

ejercicios

-

EJERCICIOS

He publicado nuevos ejercicios de 2º Geometría Afín: EJERCICIOS

Hoja-1.pdf
Hoja-3.pdf
Hoja-4.pdf

apuntes

-

Geometría afín. Teoría y trabajo final (CURSO COMPLETO)✏️​

He publicado nuevos apuntes de 2º Geometría Afín: Geometría afín. Teoría y trabajo final (CURSO COMPLETO)✏️​

Geometria-afin. Tema 0.pdf
Geometria-afin. Tema 1.pdf
Geometria-afin. Tema 2.pdf
Geometria-afin. Tema 3.pdf
Geometria-afin. Tema 4.pdf
Geometria-afin. Trabajo cónicas y cuádricas.pdf

apuntes

-

Ejercicios

He publicado nuevos apuntes de 2º Geometría Afín: Ejercicios

Ejercicios-Tema-3.pdf
Ejercicios-Tema-4.pdf
Correccion-Examen-1.pdf
Ejercicios-Tema-1.pdf
Ejercicios-Tema-2.pdf

apuntes

-

Teoría

He publicado nuevos apuntes de 2º Geometría Afín: Teoría

Tema-0-Repaso-Algebra-Lineal.pdf
Tema-1-Formas-bilineales-y-sesquilineales.pdf
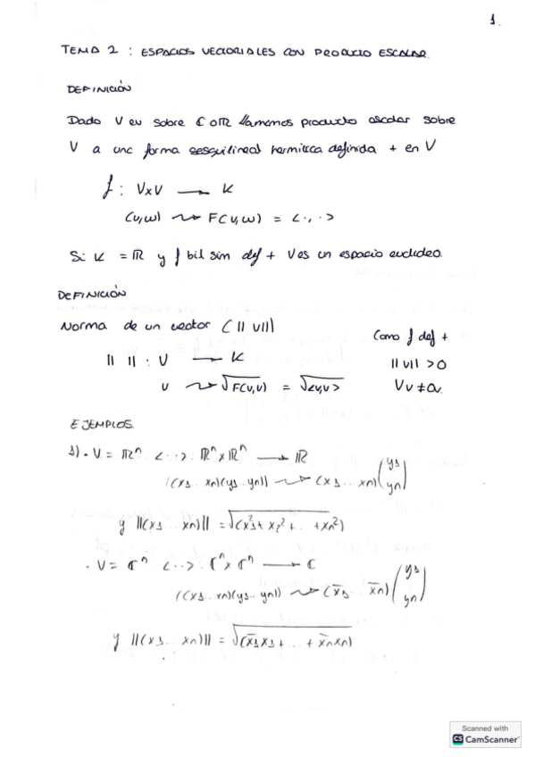
Tema-2-Espacios-Vectoriales-con-Producto-Escalar.pdf
Tema-3-Espacio-Afin.pdf
Tema-4-Espacio-Afin-Euclidiana.pdf

He publicado nuevos apuntes de 2º Geometría Afín: RESUMEN-RECORDATORIO-ALGEBRA.pdf

5 páginas

ejercicios

-

Geometría Afín. Ejercicios (CURSO COMPLETO)☑️

He publicado nuevos ejercicios de 2º Geometría Afín: Geometría Afín. Ejercicios (CURSO COMPLETO)☑️

Geometria-Afin-Hoja1.pdf
Geometria-Afin-Hoja2.pdf
Geometria-Afin-Hoja3.pdf
Geometria-Afin-Hoja4.pdf
¡Estás al día!

¡Estás al día!

Has visto todos los archivos