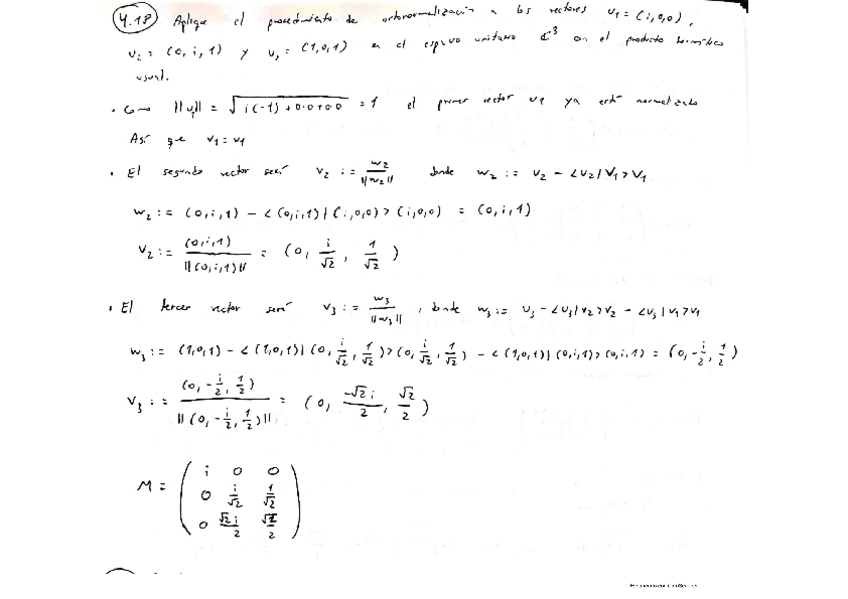
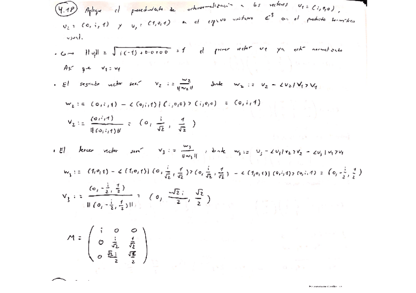
algebraejercicios-8.pdf

perre7

Ejercicios resueltos

10 archivos·

algebraejercicios-10.pdf

1 página

algebraejercicios-9.pdf

1 página

algebraejercicios-7.pdf

1 página

algebraejercicios-5.pdf

1 página

algebraejercicios-3.pdf

1 página

algebraejercicios-6.pdf

1 página

algebraejercicios-8.pdf

1 página

algebraejercicios-2.pdf

1 página

algebraejercicios-1.pdf

1 página

algebraejercicios-4.pdf

1 página

content_copy

Archivos recomendados