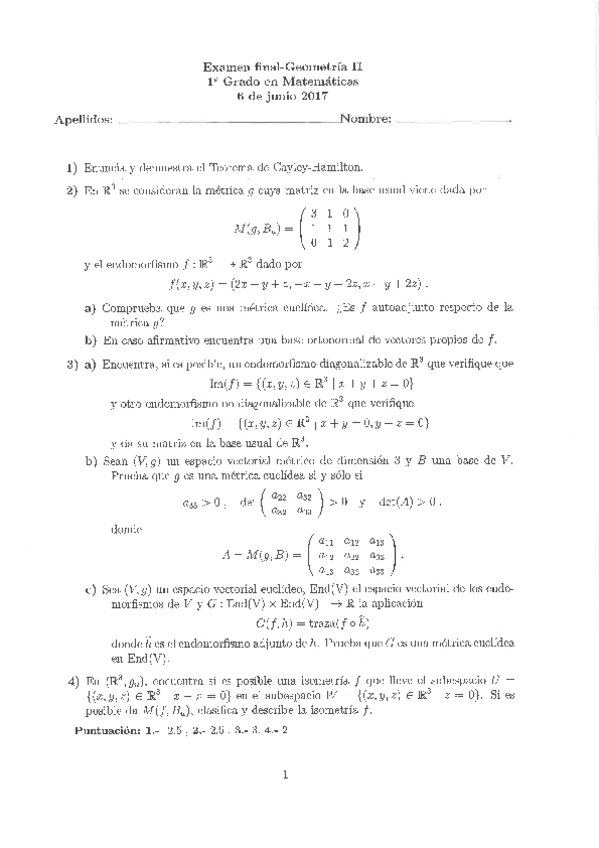
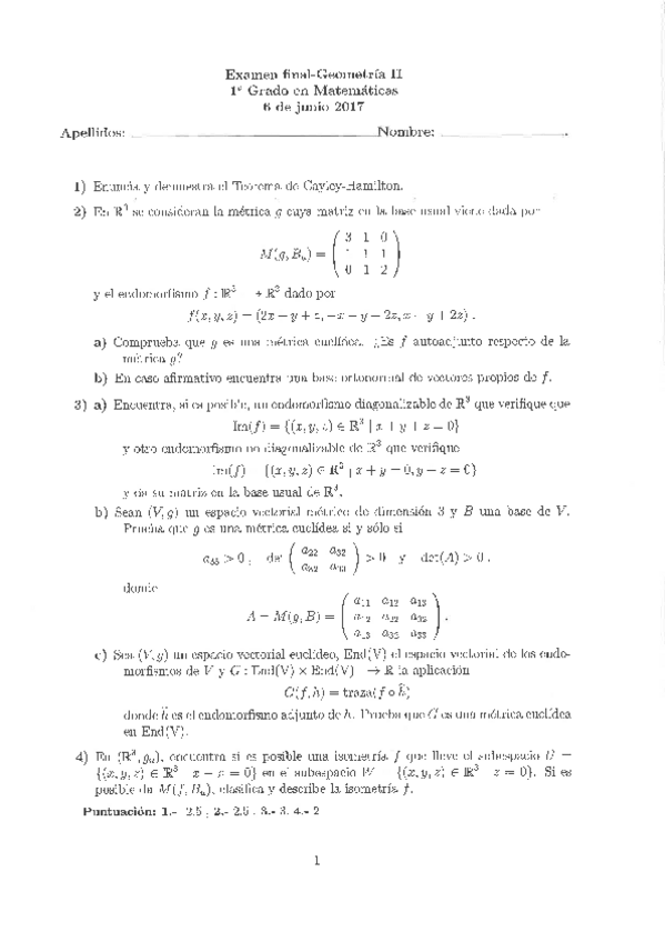
EduMontes_98
correccion-final.pdf
11 páginas
Exámenes - ord-resuelto-21-geo-II.pdf
pdf
7 páginas
421
4
Exámenes - Examenes-resueltos-geometria-II.pdf
71 páginas
185
3
Exámenes - Geometria-II-Ordinario-2024-Resuelto.pdf
8 páginas
150
2
Exámenes - JUNIO15.pdf
5 páginas
188
0
Exámenes - 2023junioResuelto.pdf
4 páginas
169
1
Apuntes - Tema-1-geometria-II.pdf
19 páginas
128
Apuntes - Tema-2-geometria-II.pdf
24 páginas
131
Exámenes - Parciales-y-final-2020.pdf
23 páginas
334
Apuntes - Tema-3.1-geometria-II.pdf
16 páginas
126
Apuntes - Tema-3.2-geometria-II.pdf
15 páginas
125
Exámenes - examen-t1.pdf
151
Exámenes - Resolucion-julio-2018.pdf
161
Exámenes - correccion-final.pdf
118
Exámenes - Resolucion-junio-2018.pdf
6 páginas
202
Exámenes - Examen-Final-Geo-II.pdf
218
177
Exámenes - final-2018.pdf
2 páginas
225
Ejercicios - Relacion2-Resuelta.pdf
56 páginas
Exámenes - examen-t2.pdf
122
Ejercicios - Relacion-3-GeoII.pdf
45 páginas
178