Todo
Apuntes
Ejercicios
Exámenes
Prácticas
publication
chevron_left
chevron_right

examenes

-

(GL) Exámenes resueltos

Exámenes resueltos. No están corregidos en clase, pueden contener algún error de cálculo.

Ordinaria-2025.pdf.pdf
Extraordinaria-2024.pdf
Extraordinaria-2025.pdf
Ordinaria-2023.pdf
Ordinaria-2025.pdf

examenes

-

exámenes GL vicente

He publicado nuevos examenes de 2º Geometría Lineal: exámenes GL vicente

exa1.pdf
exa2.pdf
examen-enero.pdf
examen-extr.pdf
examen-julio.pdf
examen-ord.pdf

apuntes

-

(GL) Resúmenes 2025-26 Vicente

Resúmenes detallados con todo lo imprescindible de cara a la materia de Geometría Lineal

Capitulo-1.-Espacio-afin.pdf
Capitulo-2.1.-Introduccion-al-espacio-proyectivo.pdf
Capitulo-2.2.-Aplicaciones-proyectivas.-Espacio-proyectivo-dual.pdf
Capitulo-3.-Conicas-y-cuadricas.pdf
Anónimo

@Anónimo

He publicado nuevos examenes de 2º Geometría Lineal: Parcial-corregido-Alejandra.pdf

Miniatura no disponible
4 páginas

He publicado nuevos ejercicios de 2º Geometría Lineal: Hoja3-resuelta.pdf

4 páginas

apuntes

-

(GL) Apuntes de clase 2025-26 Vicente

Apuntes manuscrito en clase con las demostraciones completas.

Capitulo-1.-Espacio-afin-apuntes-de-clase.pdf

ejercicios

-

Ejercicios

He publicado nuevos ejercicios de 2º Geometría Lineal: Ejercicios

Tema-1-Espacios-afinespagenumber.pdf
Tema-2-Afinidadespagenumber.pdf
Tema-3-Espacios-afines-euclideospagenumber.pdf
Tema-4-Movimientospagenumber.pdf

apuntes

-

Apuntes temario

He publicado nuevos apuntes de 2º Geometría Lineal: Apuntes temario

Resumen.pdf
Clasificacion-de-movimientospagenumber.pdf
Anónimo

@Anónimo

He publicado nuevos practicas de 2º Geometría Lineal: Entrega.pdf

2 páginas
Anónimo

@Anónimo

examenes

-

Exámenes

He publicado nuevos examenes de 2º Geometría Lineal: Exámenes

enero.pdf
junio.pdf
Anónimo

@Anónimo

ejercicios

-

hoja1

He publicado nuevos ejercicios de 2º Geometría Lineal: hoja1

hoja1.pdf
hoja3.pdf
hoja2.pdf
hoja4.pdf
hoja7.pdf
hoja6.pdf

ejercicios

-

Ejercicios resueltos Alejandra

He publicado nuevos ejercicios de 2º Geometría Lineal: Ejercicios resueltos Alejandra

Hoja-1.pdf
Hoja-2.pdf
Hoja-3.pdf
Hoja-4.pdf
Hoja-8.pdf
Hoja-7.pdf

ejercicios

-

Ejercicios resueltos Vicente

He publicado nuevos ejercicios de 2º Geometría Lineal: Ejercicios resueltos Vicente

Ejercicios-hoja-5-resuelta.pdf
Ejercicios-hoja-2-resuelta.pdf
Ejercicios-hoja-4-resuelta.pdf
Ejercicios-hoja-1-resueltos.pdf
Ejercicios-hoja-3-resuelta.pdf
Ejercicios-hoja-6-resuelta.pdf

examenes

-

Exámenes resueltos Geometría

He publicado nuevos examenes de 2º Geometría Lineal: Exámenes resueltos Geometría

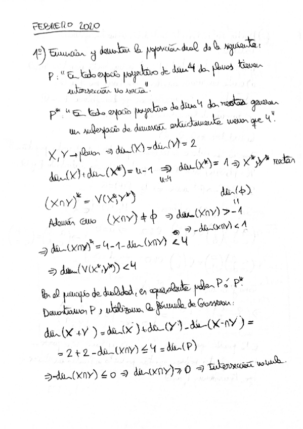
Examen-febrero-2020-Resuelto.pdf
exa2-Vicente-Resuelto.pdf
exa1-Vicente-Resuelto.pdf
2023eneroGLArrondo-Resuelto.pdf
2023eneroGLVicenteMunoz-Resuelto.pdf
Examen-enero-2022-resuelto.pdf

apuntes

-

Apuntes Geometría Lineal

He publicado nuevos apuntes de 2º Geometría Lineal: Apuntes Geometría Lineal

Tema-2.-Espacio-proyectivo.pdf
Tema-1.-Geometria-afin..pdf
Tema-3.-Conicas-y-cuadricas..pdf

apuntes

-

Apuntes COMPLETOS geometría lineal Vicente

He publicado nuevos apuntes de 2º Geometría Lineal: Apuntes COMPLETOS geometría lineal Vicente

1.-Del-espacio-afin-al-espacio-proyectivo.pdf
4.-Conicas-afines-y-geometria-euclidea.pdf
3.-Conicas-y-cuadricas.pdf
2.-Geometria-proyectiva.pdf

He publicado nuevos apuntes de 2º Geometría Lineal: TEORIA-RESUMEN-GEOMETRIA-LINEAL.pdf

13 páginas

He publicado nuevos apuntes de 2º Geometría Lineal: EJERCICIOS-RESUELTOS-GEOMETRIA-LINEAL.pdf

62 páginas

examenes

-

Exámenes Yago

Uno está incompleto

GL-Yago-Examenes-22-23-INCOMPLETO.pdf

He publicado nuevos apuntes de 2º Geometría Lineal: Esquema-de-clasificacion-afin-de-conicas.pdf

1 página

ejercicios

-

GL_EjerciciosResueltos_LuisHernández

He publicado nuevos ejercicios de 2º Geometría Lineal: GL_EjerciciosResueltos_LuisHernández

GLHoja1Resuelta.pdf
Miniatura no disponible
GLHoja2Resuelta.pdf
GLHoja3Resuelta.pdf
GLHoja4Resuelta.pdf
Miniatura no disponible
GLHoja5Resuelta.pdf
Miniatura no disponible
GLHoja6Resuelta.pdf

Acepto sugerencias para el 6, pasadlas por el grupo de M3 si lo tenéi, si sabeis demostrar que gamma es punto medio como se ve en el dibujo está hecho.

4 páginas

He publicado nuevos ejercicios de 2º Geometría Lineal: Ejercicios-resueltos-HOJA-8-GL.pdf

7 páginas

ejercicios

-

GL - Ejercicios Yago

He publicado nuevos ejercicios de 2º Geometría Lineal: GL - Ejercicios Yago

GL-Yago-1.pdf
GL-Yago-2.pdf
GL-Yago-3.pdf
GL-Yago-4.pdf
GL-Yago-5.pdf
GL-Yago-6.pdf

ejercicios

-

Hojas de ejercicios resueltas Yago

He publicado nuevos ejercicios de 2º Geometría Lineal: Hojas de ejercicios resueltas Yago

Hoja-1-Espacio-proyectivo-y-referencias.pdf
Hoja-2-Variedades.pdf
Hoja-4-Razon-doble.pdf

He publicado nuevos ejercicios de 2º Geometría Lineal: Ejercicios-resueltos-HOJA-7-GL.pdf

6 páginas

apuntes

-

Espacio afín, cónicas y cuádricas

Apuntes y esquemas

Espacio-afin.pdf
Esquema-espacio-afin.pdf

apuntes

-

Aplicaciones proyectivas

He publicado nuevos apuntes de 2º Geometría Lineal: Aplicaciones proyectivas

Esquema-Aplicaciones-proyectivas.pdf
Aplicaciones-proyectivas.pdf

apuntes

-

Geometría Vicente apuntes

He publicado nuevos apuntes de 2º Geometría Lineal: Geometría Vicente apuntes

Tema-1.-DEL-ESPACIO-AFIN-AL-ESPACIO-PROYECTIVO.pdf
Tema-2-GEOMETRIA-PROYECTIVA.pdf
Tema-3-CONICAS-Y-CUADRICAS.pdf
Tema-4-CONICAS-Y-CUADRICAS-AFINES.pdf

He publicado nuevos ejercicios de 2º Geometría Lineal: Ejercicios-resueltos-HOJA-5-GL.pdf

4 páginas

He publicado nuevos ejercicios de 2º Geometría Lineal: Ejercicios-resueltos-HOJA-4-GL.pdf

7 páginas

He publicado nuevos apuntes de 2º Geometría Lineal: Tema 3. Espacio Afin.pdf

19 páginas

Los iré subiendo poco a poco que hay que estudiar y que salir de fiesta. Mucho animo!!

6 páginas

Ejercicios ALejandra

Alguien tiene la hoja 3 de ejercicios resuelta del grupo M3 de alejandra garrido de este año?

He publicado nuevos ejercicios de 2º Geometría Lineal: Hoja-2-Geometria-Lineal.pdf

6 páginas

He publicado nuevos ejercicios de 2º Geometría Lineal: Hoja-1-Geometria-Lineal.pdf

4 páginas

He publicado nuevos ejercicios de 2º Geometría Lineal: HOJA-6-Geometria-Lineal-M3-ALEJANDRA-GARRIDO.pdf

1 página

He publicado nuevos ejercicios de 2º Geometría Lineal: Ejercicios resueltos-HOJA-6-GL-M3.pdf

8 páginas

He publicado nuevos apuntes de 2º Geometría Lineal: Resumen-Espacio-Proyectivo.pdf

2 páginas

apuntes

-

Espacio proyectivo

Apuntes y esquemas

Esquema-espacio-proyectivo.pdf
Esquema-Dualidad.pdf

He publicado nuevos apuntes de 2º Geometría Lineal: Tema-1.-Espacio-proyectivo.pdf

23 páginas

He publicado nuevos ejercicios de 2º Geometría Lineal: Ejercicios-resueltos-HOJA-2-GL.pdf

8 páginas

He publicado nuevos ejercicios de 2º Geometría Lineal: Ejercicios-resueltos-HOJA-1-GL.pdf

8 páginas
Anónimo

@Anónimo

apuntes

-

Geometría Lineal

He publicado nuevos apuntes de 2º Geometría Lineal: Geometría Lineal

TEMA-0-INTRODUCCION-AXIOMATICA-A-LOS-PLANOS-AFIN-Y-PROYECTIVO.pdf
TEMA-1-ESPACIO-PROYECTIVO.pdf
TEMA-2-DUALIDAD.pdf
TEMA-3-RELACION-DEL-ESP.-PROY.-CON-EL-ESP.-AFIN.pdf
TEMA-4-CLASIFICACION-DE-PROYECTIVIDADES.pdf
TEMA-4-GEOMETRIA-DE-LA-RECTA-PROYECTIVA.pdf

He publicado nuevos ejercicios de 2º Geometría Lineal: GL-hoja2-RESUELTA Alejandra.pdf

6 páginas

examenes

-

Exámenes con solución

He publicado nuevos examenes de 2º Geometría Lineal: Exámenes con solución

2020-febrero.pdf
2021-febrero.pdf
2022-enero.pdf
2023-enero.pdf
2023-junio.pdf
2024-enero.pdf

He publicado nuevos apuntes de 2º Geometría Lineal: T5cuadricasgl.pdf

1 página

He publicado nuevos apuntes de 2º Geometría Lineal: T4afingl.pdf

4 páginas

He publicado nuevos apuntes de 2º Geometría Lineal: T3aplicacionesgl.pdf

6 páginas

He publicado nuevos apuntes de 2º Geometría Lineal: T2dualgl.pdf

2 páginas

Homografías entre rectas y espacios afines

8 páginas
Anónimo

@Anónimo

He publicado nuevos apuntes de 2º Geometría Lineal: Tema-5-Conicas-y-cuadricas.pdf

4 páginas
Anónimo

@Anónimo

He publicado nuevos apuntes de 2º Geometría Lineal: Tema-4-La-recta-proyectiva.pdf

4 páginas
Anónimo

@Anónimo

He publicado nuevos apuntes de 2º Geometría Lineal: Tema-3-Aplicaciones-proyectivas.pdf

6 páginas

ejercicios

-

HOJAS DE EJERCICIOS RESUELTOS

He publicado nuevos ejercicios de 2º Geometría Lineal: HOJAS DE EJERCICIOS RESUELTOS

Hoja-1.pdf
Anónimo

@Anónimo

He publicado nuevos apuntes de 2º Geometría Lineal: Clasificacion-Conicas-Cuadricas-afin-y-proyectivo.pdf

1 página

examenes

-

Exámenes resueltos

He publicado nuevos examenes de 2º Geometría Lineal: Exámenes resueltos

Raquel-Diaz-Enero-2022.pdf
Jaime-Gabites-Noviembre-2021.pdf
Luis-Giraldo-Septiembre-2020.pdf
Luis-Giraldo-Febrero-2021.pdf
Javier-Gallego-Prueba-2013.pdf
Fernando-Ruiz-Febrero-2012.pdf

ejercicios

-

Ejercicios Resueltos Geometría Lineal (Jaime Jorge)

He publicado nuevos ejercicios de 2º Geometría Lineal: Ejercicios Resueltos Geometría Lineal (Jaime Jorge)

Hoja-1.pdf
Hoja-2.pdf
Hoja-3.pdf
Hoja-4.pdf
Hoja-5.pdf
Hoja-6.pdf

apuntes

-

Teoría Geometría Lineal (Jaime Jorge)

He publicado nuevos apuntes de 2º Geometría Lineal: Teoría Geometría Lineal (Jaime Jorge)

1-Revision-Espacio-Afin.pdf
2-Espacio-Proyectivo-Libro.pdf
2-Espacio-Proyectivo.pdf
3-Coordenadas-Homogeneas.pdf
4-Relacion-Espacio-Afin-y-Proyectivo-Libro.pdf
5-Aplicaciones-Proyectivas.pdf