chevron_left
chevron_right
Todo
Apuntes
Ejercicios
Exámenes
Prácticas
chevron_left
chevron_right

practicas

-

comentarios gramática histórica

He publicado nuevos practicas de 3º Gramática histórica de la lengua española: comentarios gramática histórica

comentario-1.pdf
comentario-2.pdf
comentario-3.pdf

He publicado nuevos apuntes de 3º Gramática histórica de la lengua española: ejercicios-gramatica-historica.pdf

20 páginas

He publicado nuevos apuntes de 3º Gramática histórica de la lengua española: Apuntes-gramatica-historica.pdf

95 páginas

He publicado nuevos ejercicios de 3º Gramática histórica de la lengua española: Actividades-clase-corregidas.pdf

33 páginas

Perfecto para el examen.

16 páginas

He publicado nuevos examenes de 3º Gramática histórica de la lengua española: Preguntas-examen-gramatica-historica-2425.pdf

1 página

He publicado nuevos apuntes de 3º Gramática histórica de la lengua española: Comentario-1-corregido.pdf

6 páginas

He publicado nuevos apuntes de 3º Gramática histórica de la lengua española: Comentario-2-corregido.pdf

6 páginas

He publicado nuevos apuntes de 3º Gramática histórica de la lengua española: Comentario-3-corregido.pdf

7 páginas

He publicado nuevos apuntes de 3º Gramática histórica de la lengua española: TEMA-3.-Espanol-preclasico-y-clasico.-Gramatica-historica.pdf

3 páginas

He publicado nuevos apuntes de 3º Gramática histórica de la lengua española: TEMA-2.6-Sintaxis-medieval.-Gramatica-historica.pdf

7 páginas

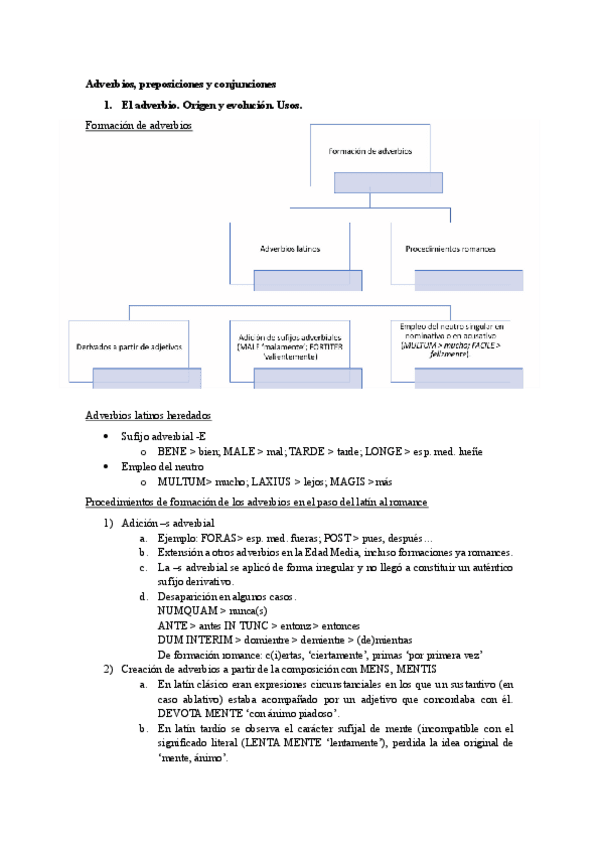
He publicado nuevos apuntes de 3º Gramática histórica de la lengua española: TEMA-2.5-Adverbios-preposiciones-y-conjunciones.-Gramatica-historica.pdf

10 páginas

He publicado nuevos apuntes de 3º Gramática histórica de la lengua española: TEMA-2.4.1-y-2-El-verbo.-Gramatica-historica.pdf

13 páginas

He publicado nuevos apuntes de 3º Gramática histórica de la lengua española: TEMA-2.3.4-Cuantificadores-numerales-y-relativos-Gramatica-historica.pdf

16 páginas

He publicado nuevos apuntes de 3º Gramática histórica de la lengua española: TEMA-2.3.3-Posesivos-Gramatica-historica.pdf

11 páginas

He publicado nuevos apuntes de 3º Gramática histórica de la lengua española: TEMA-2.3.2-Demostrativos-y-articulo-Gramatica-historica.pdf

7 páginas

He publicado nuevos apuntes de 3º Gramática histórica de la lengua española: TEMA-2.3.1-Pronombres-personales-Gramatica-historica.pdf

11 páginas

He publicado nuevos apuntes de 3º Gramática histórica de la lengua española: TEMA-2.2-Adjetivo-Gramatica-historica.pdf

9 páginas

He publicado nuevos apuntes de 3º Gramática histórica de la lengua española: TEMA-2.1-Sustantivo-Gramatica-historica.pdf

10 páginas

He publicado nuevos apuntes de 3º Gramática histórica de la lengua española: TEMA-2.0-Gramatica-historica.pdf

5 páginas

He publicado nuevos apuntes de 3º Gramática histórica de la lengua española: TEMA-2.-Gramatica-historica-biblio.pdf

30 páginas

He publicado nuevos apuntes de 3º Gramática histórica de la lengua española: Tabla-gramatica-historica.pdf

1 página

He publicado nuevos apuntes de 3º Gramática histórica de la lengua española: T.1-Gramatica-historica-1.pdf

9 páginas

He publicado nuevos apuntes de 3º Gramática histórica de la lengua española: GRAMATICA-HISTORICA-APUNTES-COMPLETOS.pdf

96 páginas

He publicado nuevos apuntes de 3º Gramática histórica de la lengua española: Gramatica-historica.pdf

31 páginas

He publicado nuevos apuntes de 3º Gramática histórica de la lengua española: CONJUNCIONES.pdf

4 páginas

apuntes

-

Batería de preguntas (corregidas)

He publicado nuevos apuntes de 3º Gramática histórica de la lengua española: Batería de preguntas (corregidas)

Tema-1.pdf
SUSTANTIVO.pdf
ADJETIVO.pdf
PRONOMBRES-Y-ARTICULOS.pdf
VERBO.pdf

He publicado nuevos apuntes de 3º Gramática histórica de la lengua española: GRAMATICA-HISTORICA.pdf

84 páginas

He publicado nuevos apuntes de 3º Gramática histórica de la lengua española: Preguntas-Gramatica-historica.pdf

15 páginas

He publicado nuevos ejercicios de 3º Gramática histórica de la lengua española: Practica-anotada-T.-2-Sustantivo.pdf

1 página

He publicado nuevos apuntes de 3º Gramática histórica de la lengua española: Caracteristicas-de-cada-epoca-resumen.pdf

6 páginas

He publicado nuevos apuntes de 3º Gramática histórica de la lengua española: apuntes-gramatica-historica.pdf

50 páginas

He publicado nuevos apuntes de 3º Gramática histórica de la lengua española: anotado-Garachana-gramaticalizacion.pdf

18 páginas

He publicado nuevos apuntes de 3º Gramática histórica de la lengua española: anotado-Garrido-1.pdf

18 páginas

He publicado nuevos apuntes de 3º Gramática histórica de la lengua española: Evolucion-de-los-pronombres-personales.pdf

23 páginas

He publicado nuevos apuntes de 3º Gramática histórica de la lengua española: Verbo-1.pdf

22 páginas

He publicado nuevos examenes de 3º Gramática histórica de la lengua española: Tarea-finalComentario-filologico2a-convocatoria.pdf

2 páginas

He publicado nuevos examenes de 3º Gramática histórica de la lengua española: Textos-examen.pdf

2 páginas

He publicado nuevos apuntes de 3º Gramática histórica de la lengua española: Apuntes-gramatica-historica.docx

word
Anónimo

@Anónimo

He publicado nuevos apuntes de 3º Gramática histórica de la lengua española: apuntes.docx

word

apuntes

-

Gramática Histórica COMPLETA

He publicado nuevos apuntes de 3º Gramática histórica de la lengua española: Gramática Histórica COMPLETA

Tema-6-y-7-Reajuste-de-sibilantes.pdf
Tema-2-3-y-4-Linguistica-diacronica.pdf
Lista-de-adverbios.pdf
Tema-5-El-castellano-medieval.pdf
Tema-10-El-verbo.pdf
Tema-1-Historia-de-la-linguistica-diacronica.pdf
Anónimo

@Anónimo

He publicado nuevos apuntes de 3º Gramática histórica de la lengua española: APUNTES-GRAMATICA-HISTORICA.pdf

58 páginas

apuntes

-

APUNTES

He publicado nuevos apuntes de 3º Gramática histórica de la lengua española: APUNTES

GH-TEMA-6--COMENTARIOS.pdf
GRAMATICA-HISTORICA-T1-5.pdf
Anónimo

@Anónimo

apuntes

-

APUNTES

He publicado nuevos apuntes de 3º Gramática histórica de la lengua española: APUNTES

GH-TEMA-6--COMENTARIOS.pdf
GRAMATICA-HISTORICA-T1-5.pdf

He publicado nuevos apuntes de 3º Gramática histórica de la lengua española: Gramática histórica (buenos apuntes).pdf

144 páginas

apuntes

-

Gramática histórica

He publicado nuevos apuntes de 3º Gramática histórica de la lengua española: Gramática histórica

Gramática histórica (buenos apuntes).pdf
Comentario filológico (Natalia Galbis).pdf

He publicado nuevos apuntes de 3º Gramática histórica de la lengua española: APUNTES GRAMÁTICA HISTÓRICA.docx

word

He publicado nuevos examenes de 3º Gramática histórica de la lengua española: Examen Satorre junio 2014.pdf

1 página

He publicado nuevos apuntes de 3º Gramática histórica de la lengua española: Temario Gramática histórica.pdf

85 páginas
Anónimo

@Anónimo

apuntes

-

gramatica

He publicado nuevos apuntes de 3º Gramática histórica de la lengua española: gramatica

gramatica española.pdf
gramatica(1).pdf
gramatica.pdf
¡Estás al día!

¡Estás al día!

Has visto todos los archivos