nubesdetinta
Bachillerato de Ciencias y Tecnología
La-construccio-i-consolidacio-del-estat-liberal.pdf
17 páginas
Apuntes - La-Restauracio-Borbonica.pdf
pdf
10 páginas
38
2
Apuntes - La-crisi-del-antic-regim.pdf
16 páginas
14
0
Apuntes - La-crisi-de-la-Restauracio-Borbonica.pdf
13 páginas
20
Apuntes - La-dictadura-franquista.pdf
9 páginas
17
Apuntes - La-construccio-i-consolidacio-del-estat-liberal.pdf
12
Apuntes - desarrollisme-dictadura.pdf
5 páginas
10
Apuntes - La-2a-Republica.pdf
11
Apuntes - Economia-espanyola-1833-1900.pdf
7 páginas
13
Apuntes - El-sexenni-democratic.pdf
11 páginas
1
Apuntes - La-guerra-civil.pdf
8 páginas
7
Apuntes - El-franquisimo-59-75.pdf
Apuntes - Resumen-completo-Franquismo-y-Transicio.pdf
3
Apuntes - El-franquisimo-39-59.pdf
Apuntes - Colps-de-Estat-del-segle-XIX-i-XX-valenciano-catalan.pdf
1 página
6
Apuntes - Dictadura-del-General-Franco.pdf
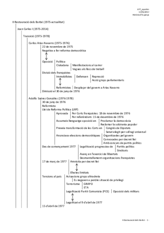
Apuntes - II-Restauracio-dels-Borbo.pdf
4 páginas
Apuntes - Golpes-de-Estado-del-siglo-XIX-y-XX-castellano.pdf
2 páginas
Apuntes - Eje-cronologico-2a-Republica.pdf
Apuntes - Bandos-Guerra-Civil.pdf
4
Apuntes - comentari-de-fonts-historia.pdf