Historia de la Comunicación Social en el País Valenciano

chevron_left
chevron_right
Todo
Apuntes
Trabajos
chevron_left
chevron_right

apuntes

-

Apuntes Historia de la Comunicación Social en el País Valenciano

He publicado nuevos apuntes de 2º Historia de la Comunicación Social en el País Valenciano: Apuntes Historia de la Comunicación Social en el País Valenciano

Tema-2.-La-ciudad-gran-primer-escenario-comunicativo.pdf
Tema-5.-Hacia-la-comunicacion-de-masas.pdf
Tema-7.-1939-1975-Dictadura-y-hegemonia-cultural.pdf
Tema-6.1931-1939-La-transicion-frustrada-hacia-la-democracia.pdf
Tema-3.-La-propaganda-la-revolucion-y-reaccion-en-el-proceso-revolucionario.pdf
Tema-8.-1976-2015-La-comunicacion-en-la-democracia.pdf

apuntes

-

historia pv

He publicado nuevos apuntes de 2º Historia de la Comunicación Social en el País Valenciano: historia pv

TEMA-1-historia-del-PV.pdf
tema-2-hpv.pdf
tema-3-hpv.pdf
tema-4-hpv.pdf
tema-5-hpv.pdf
tema-6-hpv.pdf

apuntes

-

APUNTES TEMARIO HISTORIA PAÍS VALENCIANO

He publicado nuevos apuntes de 2º Historia de la Comunicación Social en el País Valenciano: APUNTES TEMARIO HISTORIA PAÍS VALENCIANO

TEMA-1-HISTORIA-PV.pdf
TEMA-2-HISTORIA-PV.pdf
TEMA-3-HISTORIA-PV.pdf
TEMA-4-HISTORIA-PV.pdf
TEMA-5-HISTORIA-PV.pdf
TEMA-6-HISTORIA-PV.pdf

apuntes

-

Temario historia comunicación

He publicado nuevos apuntes de 2º Historia de la Comunicación Social en el País Valenciano: Temario historia comunicación

TEMA-3-HISTORIA.pdf
TEMA-8-HISTORIA.pdf
TEMA-7-HISTORIA.pdf
TEMA-6-HISTORIA.pdf
TEMA-5-HISTORIA.pdf
TEMA-4-HISTORIA.pdf
Anónimo

@Anónimo

apuntes

-

Preguntes Història Comunicació Social PV

He publicado nuevos apuntes de 2º Historia de la Comunicación Social en el País Valenciano: Preguntes Història Comunicació Social PV

TEMA-8.pdf
TEMA-2.pdf
TEMA-3.pdf
TEMA-4.pdf
TEMA-7.pdf
TEMA-5.pdf

apuntes

-

Preguntas Historia Completas

He publicado nuevos apuntes de 2º Historia de la Comunicación Social en el País Valenciano: Preguntas Historia Completas

TEMA-7-preguntes.pdf
TEMA-6-preguntes.pdf
TEMA-3.pdf
TEMA-4.pdf
TEMA-2.pdf
TEMA-8-preguntes.pdf

apuntes

-

Apuntes Historia completos

He publicado nuevos apuntes de 2º Historia de la Comunicación Social en el País Valenciano: Apuntes Historia completos

HCPV-Tema-2.pdf
HCPV-Tema-6.pdf
HCPV-Tema-1.pdf
HCPV-Tema-5.pdf
HCPV-Tema-3.pdf
HCPV-Tema-7.pdf

apuntes

-

Teoría y preguntas de historia

He publicado nuevos apuntes de 2º Historia de la Comunicación Social en el País Valenciano: Teoría y preguntas de historia

TEMA-3.pdf
TEMA-3-Preguntas-resueltas.pdf
TEMA-4.pdf
TEMA-2.pdf
TEMA-1.pdf
TEMA-1-Actividades-resueltas.pdf

He publicado nuevos trabajos de 2º Historia de la Comunicación Social en el País Valenciano: RESSENYA-CARCELLER.pdf

2 páginas

He publicado nuevos apuntes de 2º Historia de la Comunicación Social en el País Valenciano: PREGUNTES-TEMA-8.pdf

5 páginas

He publicado nuevos apuntes de 2º Historia de la Comunicación Social en el País Valenciano: PREGUNTES-TEMA-7.pdf

9 páginas

He publicado nuevos apuntes de 2º Historia de la Comunicación Social en el País Valenciano: PREGUNTES-TEMA-6.pdf

5 páginas

He publicado nuevos apuntes de 2º Historia de la Comunicación Social en el País Valenciano: PREGUNTES-TEMA-5.pdf

4 páginas

He publicado nuevos apuntes de 2º Historia de la Comunicación Social en el País Valenciano: PREGUNTES-TEMA-4.pdf

7 páginas

He publicado nuevos apuntes de 2º Historia de la Comunicación Social en el País Valenciano: PREGUNTES-TEMA-3.pdf

7 páginas

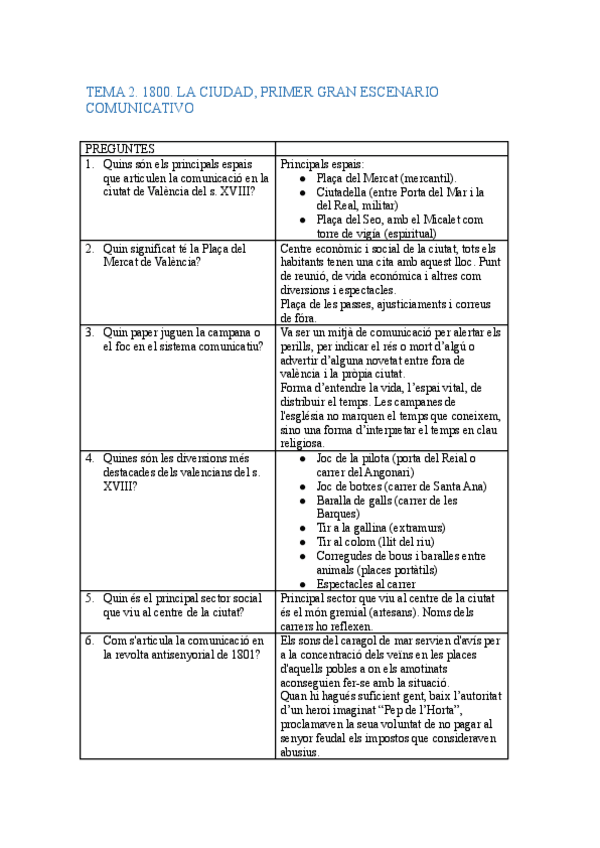
He publicado nuevos apuntes de 2º Historia de la Comunicación Social en el País Valenciano: PREGUNTES-TEMA-2.pdf

4 páginas

He publicado nuevos apuntes de 2º Historia de la Comunicación Social en el País Valenciano: PREGUNTES-TEMA-1.pdf

5 páginas

apuntes

-

Apuntes

He publicado nuevos apuntes de 2º Historia de la Comunicación Social en el País Valenciano: Apuntes

Dossier Historia de la Comunicación 0 - 62.pdf
Dossier historia 63-80.pdf
Historia de vida.pdf

apuntes

-

Dossier Apuntes

He publicado nuevos apuntes de 2º Historia de la Comunicación Social en el País Valenciano: Dossier Apuntes

Dossier Historia de la Comunicación 0 - 62.pdf
Dossier historia 63-80.pdf

apuntes

-

Apuntes

He publicado nuevos apuntes de 2º Historia de la Comunicación Social en el País Valenciano: Apuntes

Dossier Historia de la Comunicación 0 - 62.pdf
Dossier historia 63-80.pdf
¡Estás al día!

¡Estás al día!

Has visto todos los archivos