Anónimo
PROBLEMAS
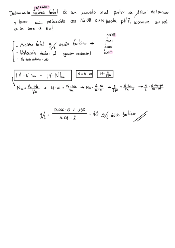
Ejercicios-Acidez-Total.pdf
1 página
Problema-Sulfuroso.pdf
Exámenes - examen-ind-3-mayo-2023.pdf
pdf
2 páginas
79
0
Exámenes - Examen-Ind-III-Enero-2024.pdf
4 páginas
73
2
Apuntes - Problema-Sulfuroso.pdf
54
Apuntes - Ejercicios-Acidez-Total.pdf
53
Apuntes - Temario-Completo.pdf
31 páginas
38
Apuntes - Apuntes.pdf
8 páginas
37
Apuntes - Diagramas-de-flujo-Vinos.pdf
Apuntes - INDUSTRIAS-III.pdf
81 páginas
25
Apuntes - Informe-de-practicas-IND-III.pdf
6 páginas
21
Exámenes - Examen-Indus-III-Diciembre-Enero-26.pdf
17
Apuntes - LA-UVA.pdf
16
Apuntes - TEMA-1-i.pdf
7 páginas
14
Apuntes - Temas-IND-3.pdf
203 páginas
5
Apuntes - TEMA-5.pdf
3 páginas
1
Apuntes - TEMA-19.pdf
Apuntes - TEMA-20.pdf
Apuntes - TEMA-1.pdf
Apuntes - TEMA-18.pdf
Apuntes - TEMA-17.pdf
Apuntes - TEMA-16.pdf