Inferencia Estadística

chevron_left
chevron_right
Todo
Apuntes
Ejercicios
Exámenes
Otros
PEC
Prácticas
publication
Test
Trabajos
chevron_left
chevron_right

ejercicios

-

Tema 3: Estimación por intervalos de confianza

He publicado nuevos ejercicios de 3º Inferencia Estadística: Tema 3: Estimación por intervalos de confianza

Enunciados.pdf
Solucionario.pdf

ejercicios

-

Tema 2: Estimación puntual

He publicado nuevos ejercicios de 3º Inferencia Estadística: Tema 2: Estimación puntual

Enunciados.pdf
Solucionario.pdf

Apunts sencers de l'assignatura. Exemples i tota la teoria

38 páginas

He publicado nuevos ejercicios de 2º Inferencia Estadística: EJERCICIOS-TEMA-4.pdf

Miniatura no disponible
6 páginas

He publicado nuevos apuntes de 2º Inferencia Estadística: INFERENCIA-BAYESIANA.pdf

Miniatura no disponible
5 páginas

He publicado nuevos ejercicios de 2º Inferencia Estadística: EJERCICIOS-TEMA-123.pdf

Miniatura no disponible
4 páginas

He publicado nuevos apuntes de 2º Inferencia Estadística: TEMA-5.pdf

Miniatura no disponible
15 páginas

He publicado nuevos apuntes de 2º Inferencia Estadística: TEMA-4.pdf

Miniatura no disponible
15 páginas

practicas

-

Tasques Inferència

Tasques curs 2024-2025

tasca-6.pdf
tasca-2.pdf
Tasca-1.pdf
tasca-3.pdf
tasca-4.pdf
activitat-bayesiana-2.pdf

He publicado nuevos practicas de 3º Inferencia Estadística: Ejercicios-Practica-1-RESUELTOS.pdf

3 páginas

He publicado nuevos practicas de 3º Inferencia Estadística: Practica-1-Clase.pdf

4 páginas

ejercicios

-

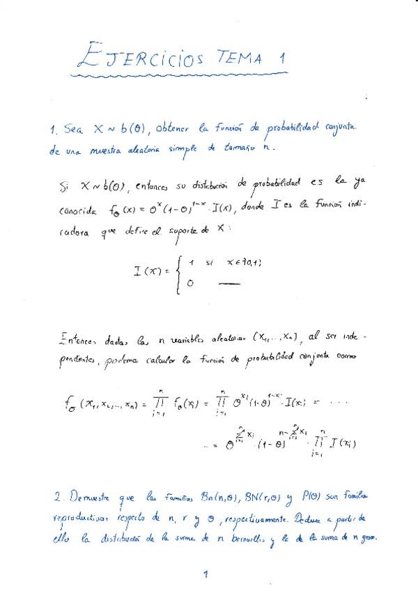
Tema 1: Introducción a la inferencia estadística

He publicado nuevos ejercicios de 3º Inferencia Estadística: Tema 1: Introducción a la inferencia estadística

Enunciados.pdf
Solucionario.pdf

He publicado nuevos examenes de 3º Inferencia Estadística: Examenes-ordinarios-2021-2026.pdf

17 páginas

Examen enero 2026 de laboratorio de inferencia estadística

1 página

Lo rojo sobra, no le hagáis caso

8 páginas

He publicado nuevos examenes de 3º Inferencia Estadística: Examen-RESUELTO-Junio-2024.pdf

7 páginas

He publicado nuevos examenes de 3º Inferencia Estadística: Examen-RESUELTO-enero-2025.pdf

9 páginas

He publicado nuevos apuntes de 3º Inferencia Estadística: Esquema-De-Ejercicios-Parcial-2-IFE.pdf

2 páginas

He publicado nuevos ejercicios de 3º Inferencia Estadística: Tarea-2.pdf

4 páginas

He publicado nuevos ejercicios de 3º Inferencia Estadística: Tarea-1.pdf

5 páginas

He publicado nuevos apuntes de 3º Inferencia Estadística: Formulas-Tema-7.pdf

4 páginas

He publicado nuevos apuntes de 3º Inferencia Estadística: Formulas-Tema-8-Y-9.pdf

3 páginas

He publicado nuevos apuntes de 3º Inferencia Estadística: Formulas-Tema-6.pdf

2 páginas

He publicado nuevos examenes de 3º Inferencia Estadística: Examen-22-Ordinaria.pdf

9 páginas

He publicado nuevos examenes de 3º Inferencia Estadística: Examen-21-Extraordinaria.pdf

11 páginas

He publicado nuevos examenes de 3º Inferencia Estadística: Examen-21-Ordinaria.pdf

10 páginas

He publicado nuevos examenes de 3º Inferencia Estadística: Ejercicios-Sueltos-De-Examen-.pdf

7 páginas

He publicado nuevos apuntes de 3º Inferencia Estadística: Deduccion-IC.pdf

9 páginas

He publicado nuevos ejercicios de 2º Inferencia Estadística: Ejercicios-Clase-tema-5.pdf

2 páginas

He publicado nuevos apuntes de 2º Inferencia Estadística: Tema-2.pdf

2 páginas

He publicado nuevos apuntes de 2º Inferencia Estadística: Resumen-Control-2.pdf

3 páginas

He publicado nuevos apuntes de 2º Inferencia Estadística: Formulas-Final.pdf

1 página

He publicado nuevos ejercicios de 2º Inferencia Estadística: Ejercicios-tema-5.pdf

5 páginas

He publicado nuevos ejercicios de 2º Inferencia Estadística: Ejercicios-tema-3.pdf

7 páginas

He publicado nuevos examenes de 2º Inferencia Estadística: Test-Autoevaluacion-3.pdf

1 página

He publicado nuevos ejercicios de 2º Inferencia Estadística: Ejercicios-Repaso-Final.pdf

4 páginas

He publicado nuevos ejercicios de 2º Inferencia Estadística: Ejercicios-tema-4.pdf

15 páginas

He publicado nuevos ejercicios de 2º Inferencia Estadística: ejercicios-Tema-2.pdf

2 páginas

He publicado nuevos examenes de 2º Inferencia Estadística: Resumen-Control-1.pdf

2 páginas

He publicado nuevos ejercicios de 2º Inferencia Estadística: Ejercicios-tema-7.pdf

5 páginas

He publicado nuevos apuntes de 2º Inferencia Estadística: Tema-1.pdf

3 páginas

examenes

-

Exámenes resueltos Leando

He publicado nuevos examenes de 3º Inferencia Estadística: Exámenes resueltos Leando

Enero 2025 resuelto.pdf.pdf
Enero 2024 resuelto.pdf.pdf

ejercicios

-

CUESTIONES TEÓRICAS resueltas

He publicado nuevos ejercicios de 3º Inferencia Estadística: CUESTIONES TEÓRICAS resueltas

Cuestiones-teoricas-primera-partewatermarked.pdf
Cuestiones-teoricas-segunda-partewatermarked.pdf

ejercicios

-

CUESTIONES TEÓRICAS resueltas

He publicado nuevos ejercicios de 4º Inferencia Estadística: CUESTIONES TEÓRICAS resueltas

Cuestiones-teoricas-segunda-partewatermarked.pdf
Cuestiones-teoricas-primera-partewatermarked.pdf

ejercicios

-

Ejercicios resueltos

He publicado nuevos ejercicios de 3º Inferencia Estadística: Ejercicios resueltos

Ejercicios-IE-Conde.pdf.pdf
Ejercicios-resueltos-1-48.pdf
Ejercicios-resueltos-49-87.pdf
Ejercicios-resueltos-88-103.pdf

apuntes

-

APUNTES de la asignatura

He publicado nuevos apuntes de 3º Inferencia Estadística: APUNTES de la asignatura

Apuntes-Tema-5-Contraste-de-hipotesis-parametricaswatermarked.pdf
Apuntes-Convergenciaswatermarked.pdf
Apuntes-Tema-1-Introduccion-a-la-Inferencia-Estadisticawatermarked.pdf
Apuntes-Tema-2watermarked.pdf
Apuntes-Tema-3-Muestreo-en-poblaciones-normaleswatermarked.pdf
Apuntes-Tema-4-Regiones-de-confianzawatermarked.pdf

apuntes

-

APUNTES de la asignatura

He publicado nuevos apuntes de 4º Inferencia Estadística: APUNTES de la asignatura

Apuntes-Convergenciaswatermarked.pdf
Apuntes-Tema-1-Introduccion-a-la-Inferencia-Estadisticawatermarked.pdf
Apuntes-Tema-2watermarked.pdf
Apuntes-Tema-3-Muestreo-en-poblaciones-normaleswatermarked.pdf
Apuntes-Tema-4-Regiones-de-confianzawatermarked.pdf
Apuntes-Tema-5-Contraste-de-hipotesis-parametricaswatermarked.pdf

He publicado nuevos apuntes de 3º Inferencia Estadística: Enunciado-Examen-Enero-2026.pdf

2 páginas

examenes

-

Exámenes Resueltos

He publicado nuevos examenes de 3º Inferencia Estadística: Exámenes Resueltos

Enero-2022-Resuelto.pdf
Examen-Enero-2021-Resuelto.pdf
Examen-enero-2024-resuelto.pdf

He publicado nuevos apuntes de 3º Inferencia Estadística: Resumen-Para-Ejercicios.pdf

5 páginas

apuntes

-

Apuntes por temas

He publicado nuevos apuntes de 3º Inferencia Estadística: Apuntes por temas

Introducción a la Inferencia.pdf.pdf
Propiedades asintóticas de un estimador.pdf.pdf
Contrastes de hipótesis.pdf.pdf
Contrastes relativos a poblaciones multinomiales.pdf.pdf
Teoría de la decisión.pdf.pdf

ejercicios

-

Relaciones resueltas

He publicado nuevos ejercicios de 3º Inferencia Estadística: Relaciones resueltas

Relacion-1-IE.pdf
Relacion-2.pdf
Relacion-3.pdf
Relacion-4.pdf
Relacion-5.pdf
Relacion-6.pdf

apuntes

-

Cuestiones

He publicado nuevos apuntes de 3º Inferencia Estadística: Cuestiones

Cuestiones-teoricas-21-25.pdf
Cuestiones-teoricas-parte-1.pdf

He publicado nuevos apuntes de 3º Inferencia Estadística: tests.pdf

2 páginas

He publicado nuevos apuntes de 3º Inferencia Estadística: distribuciones.pdf

1 página

apuntes

-

Resumen apuntes

He publicado nuevos apuntes de 3º Inferencia Estadística: Resumen apuntes

T1.-Introduccion-a-la-inferencia-estadistica.pdf
Miniatura no disponible
T2-.-Distribuciones-en-el-muestreo-de-poblaciones-normales.pdf
T2-.-Distribuciones-en-el-muestreo-de-poblaciones-normales.pdf
T3.-Suficiencia-y-completitud.pdf
T4.-Estimacion-puntual.-Insesgadez-y-minima-varianza.pdf
T6.-Estimacion-por-intervalos-de-confianza.pdf

apuntes

-

Esquemas por temas

He publicado nuevos apuntes de 3º Inferencia Estadística: Esquemas por temas

Esquema Propiedades asintóticas de un estimador.pdf.pdf
Esquema Contrastes de hipótesis.pdf.pdf
Esquema Contrastes en poblaciones multinomiales.pdf.pdf

apuntes

-

Inferencia Estadística

He publicado nuevos apuntes de 3º Inferencia Estadística: Inferencia Estadística

Resumenes-completos-Inferencia-Estadistica.pdf
Anónimo

@Anónimo

examenes

-

Exámenes

He publicado nuevos examenes de 3º Inferencia Estadística: Exámenes

prefinalinferencia.pdf

Apuntes para preparar el examen practico de Inferencia Estadísitca. Incluye todas las prácticas, desde la 0 a la 6.