Inferencia Estadística

chevron_left
chevron_right
Todo
Apuntes
Ejercicios
Exámenes
Prácticas
chevron_left
chevron_right

Examen enero 2026 de laboratorio de inferencia estadística

1 página

Apuntes para preparar el examen practico de Inferencia Estadísitca. Incluye todas las prácticas, desde la 0 a la 6.

He publicado nuevos apuntes de 2º Inferencia Estadística: Tema-3-Intervalos-de-confianza.pdf

7 páginas

Apuntes de los conceptos más importantes sobre los métodos para el examen.

3 páginas

Apuntes y, ejercicios de clase y recomendados

22 páginas

Apuntes y, ejercicios de clase y recomendados.

16 páginas

He publicado nuevos practicas de 2º Inferencia Estadística: resumen-practicas-examen.pdf

18 páginas

practicas

-

examenes practicas

He publicado nuevos practicas de 2º Inferencia Estadística: examenes practicas

examen-practicas-1.pdf
examen-practicas-2.pdf
examen1anterior.pdf
examen2anterior.pdf
examen.pdf

practicas

-

PRACTICAS

He publicado nuevos practicas de 2º Inferencia Estadística: PRACTICAS

practica2.pdf
practica4.pdf
practica5.pdf
prractica6.pdf

apuntes

-

resumenes

He publicado nuevos apuntes de 2º Inferencia Estadística: resumenes

Resumen-Tema-1.pdf
Resumen-Tema-2.pdf
Resumen-Tema-4.pdf

apuntes

-

Tema 3 (apuntes y ejercicios)

He publicado nuevos apuntes de 2º Inferencia Estadística: Tema 3 (apuntes y ejercicios)

Ejercicios-tema-3-HTML.pdf
Resumen-tema-3.pdf

apuntes

-

Tema 1 y 2 (apuntes y ejercicios)

He publicado nuevos apuntes de 2º Inferencia Estadística: Tema 1 y 2 (apuntes y ejercicios)

Resumen-tema-1-y-2.pdf
Ejercicios-tema-2-HTML.pdf
Ejercicios-tema-1-HTML.pdf

He publicado nuevos apuntes de 2º Inferencia Estadística: Examen-L4.pdf

13 páginas

He publicado nuevos examenes de 2º Inferencia Estadística: Examen practicas solucionado.pdf

10 páginas

He publicado nuevos apuntes de 2º Inferencia Estadística: Plantilla-examen-laboratorio.pdf

14 páginas
Anónimo

@Anónimo

He publicado nuevos examenes de 2º Inferencia Estadística: Solucion-control-2-A-2023.pdf

5 páginas
Anónimo

@Anónimo

He publicado nuevos examenes de 2º Inferencia Estadística: Solucion-control-2-B-2023.pdf

5 páginas

He publicado nuevos examenes de 2º Inferencia Estadística: Solucion-Examen-27-octubre-B.pdf

4 páginas

He publicado nuevos examenes de 2º Inferencia Estadística: Solucion-Examen-27-octubre-A.pdf

4 páginas

He publicado nuevos apuntes de 2º Inferencia Estadística: tema-2.pdf

6 páginas

He publicado nuevos apuntes de 2º Inferencia Estadística: tema-1.pdf

6 páginas

He publicado nuevos apuntes de 2º Inferencia Estadística: ResumenIE.pdf

6 páginas
Anónimo

@Anónimo

He publicado nuevos examenes de 2º Inferencia Estadística: Examen-2023-resuelto.pdf

5 páginas
Anónimo

@Anónimo

He publicado nuevos examenes de 2º Inferencia Estadística: Controles-2023-resueltos.pdf

8 páginas
Anónimo

@Anónimo

ejercicios

-

Ejercicios de los temas

He publicado nuevos ejercicios de 2º Inferencia Estadística: Ejercicios de los temas

Ejercicios-T2.pdf
Ejercicios-T3.pdf
Ejercicios-T1.pdf
Anónimo

@Anónimo

He publicado nuevos apuntes de 2º Inferencia Estadística: Resumen-Inferencia-Estadistica.pdf

2 páginas
Anónimo

@Anónimo

He publicado nuevos examenes de 2º Inferencia Estadística: Examen-junio-2023.pdf

1 página
Anónimo

@Anónimo

examenes

-

Examen enero 2023 con solución

He publicado nuevos examenes de 2º Inferencia Estadística: Examen enero 2023 con solución

Examen-enero-2023.pdf
Soluciones-examen-enero-2023.pdf

He publicado nuevos examenes de 2º Inferencia Estadística: Parcial1aIE.pdf

1 página

He publicado nuevos examenes de 2º Inferencia Estadística: Parcial1bIE.pdf

1 página

He publicado nuevos examenes de 2º Inferencia Estadística: SolucionParcial1aIE.pdf

5 páginas

He publicado nuevos apuntes de 2º Inferencia Estadística: SolucionParcial1bIE.pdf

5 páginas
Anónimo

@Anónimo

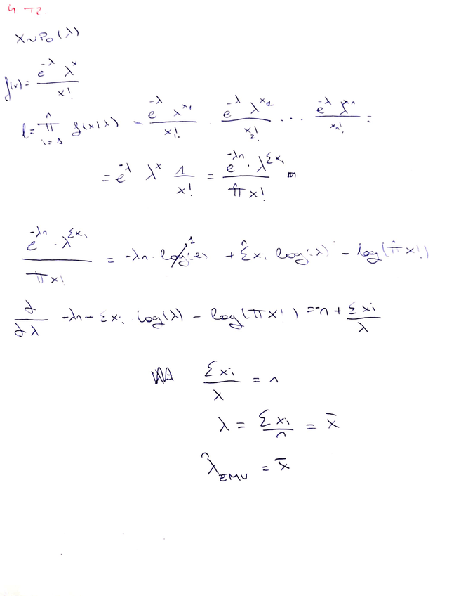
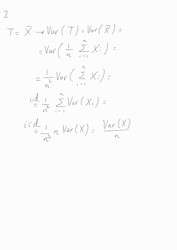
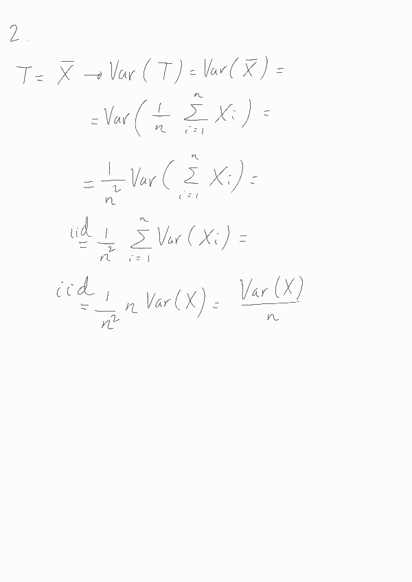
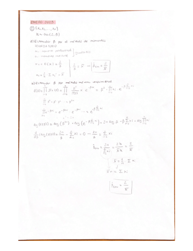
He publicado nuevos apuntes de 2º Inferencia Estadística: examenlab.jpg

Imagen
Anónimo

@Anónimo

He publicado nuevos apuntes de 2º Inferencia Estadística: apuntes.pdf

4 páginas
Anónimo

@Anónimo

apuntes

-

ejercicio 8 y 4 del Tema 2

He publicado nuevos apuntes de 2º Inferencia Estadística: ejercicio 8 y 4 del Tema 2

8t2.jpg
4t2.jpg

practicas

-

EXAMENES PRÁCTICAS RESUELTOS

He publicado nuevos practicas de 2º Inferencia Estadística: EXAMENES PRÁCTICAS RESUELTOS

examen2-Maria-Rodriguez-Palomo.pdf
examen-Maria-Rodriguez-Plaomo.pdf
Anónimo

@Anónimo

examenes

-

Controles 1 y 2 SOLUCIÓN Y ENUNCIADOS

He publicado nuevos examenes de 2º Inferencia Estadística: Controles 1 y 2 SOLUCIÓN Y ENUNCIADOS

control-2b.pdf
control-2a.pdf
control-1a.pdf
control-1b.pdf
EvalCon-1a.pdf
EvalCon-2a.pdf

He publicado nuevos ejercicios de 2º Inferencia Estadística: ejercicios4.pdf

pdf

He publicado nuevos ejercicios de 2º Inferencia Estadística: ejercicios3.pdf

8 páginas

He publicado nuevos ejercicios de 2º Inferencia Estadística: ejercicios2.pdf

12 páginas

He publicado nuevos ejercicios de 2º Inferencia Estadística: ejercicios1.pdf

10 páginas

He publicado nuevos apuntes de 2º Inferencia Estadística: Informe-Definitivo.pdf

20 páginas

apuntes

-

Entregables de las prácticas de IE

He publicado nuevos apuntes de 2º Inferencia Estadística: Entregables de las prácticas de IE

Practica-1-IE.pdf
Practica-3-IE.pdf
Practica-2-Entregable.pdf
IE-Practica-5-entregable-.pdf

He publicado nuevos apuntes de 2º Inferencia Estadística: Supervivencia-Caso-practico.pdf

8 páginas

Corresponde a la práctica 4

15 páginas

He publicado nuevos apuntes de 2º Inferencia Estadística: IE-Recuperacion.pdf

6 páginas

He publicado nuevos apuntes de 2º Inferencia Estadística: IE-Recuperacion.pdf

8 páginas

He publicado nuevos apuntes de 2º Inferencia Estadística: IE-Recuperacion.pdf

8 páginas

He publicado nuevos apuntes de 2º Inferencia Estadística: Recopilacion-Ejercicios-evaluacion-continua.pdf

16 páginas

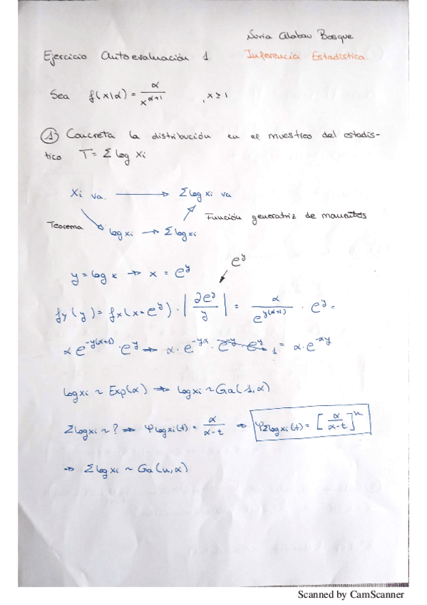
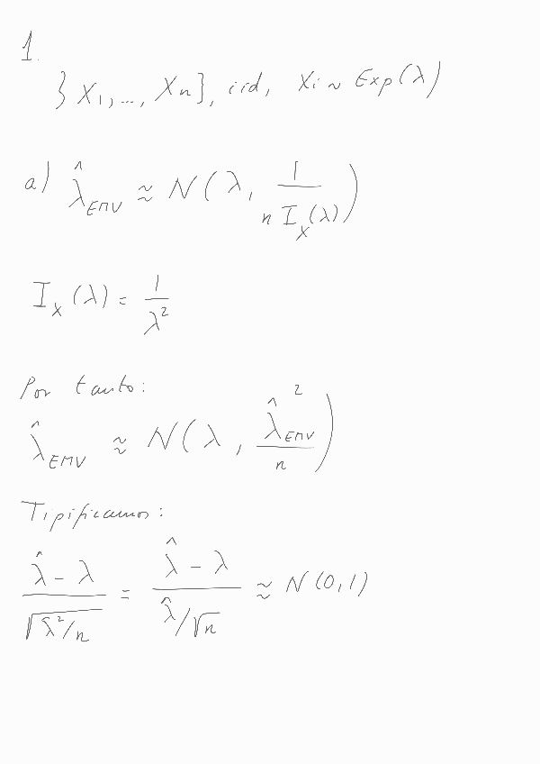
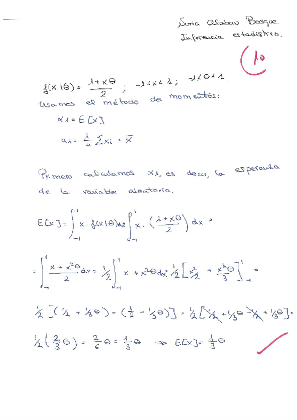
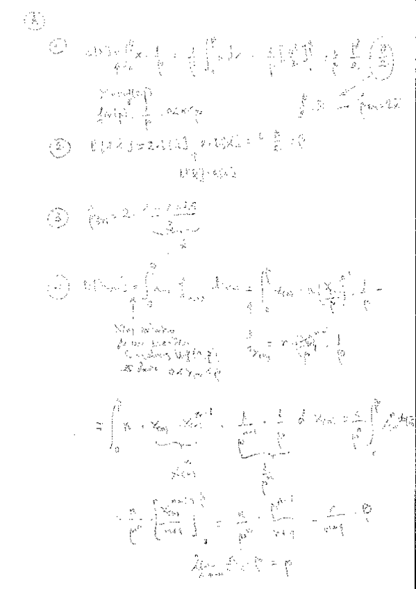
He publicado nuevos apuntes de 2º Inferencia Estadística: IE-Ejercicios-autoevaluables-1-y-2.pdf

8 páginas

He publicado nuevos apuntes de 2º Inferencia Estadística: Cuestiones-T.pdf

2 páginas

He publicado nuevos apuntes de 2º Inferencia Estadística: Ejercicio-evaluable-3.pdf

4 páginas

He publicado nuevos apuntes de 2º Inferencia Estadística: Ejercicio-evaluable-2.pdf

2 páginas

He publicado nuevos apuntes de 2º Inferencia Estadística: Ejercicio-evaluable-1.pdf

2 páginas

He publicado nuevos apuntes de 2º Inferencia Estadística: IE--Redaccion.pdf

1 página

He publicado nuevos apuntes de 2º Inferencia Estadística: RecordatorioResumen-Probailidad.pdf

4 páginas

He publicado nuevos apuntes de 2º Inferencia Estadística: Practica-Cirugia-1.pdf

2 páginas
¡Estás al día!

¡Estás al día!

Has visto todos los archivos