RoyalFlushMen
Ejercicio_2
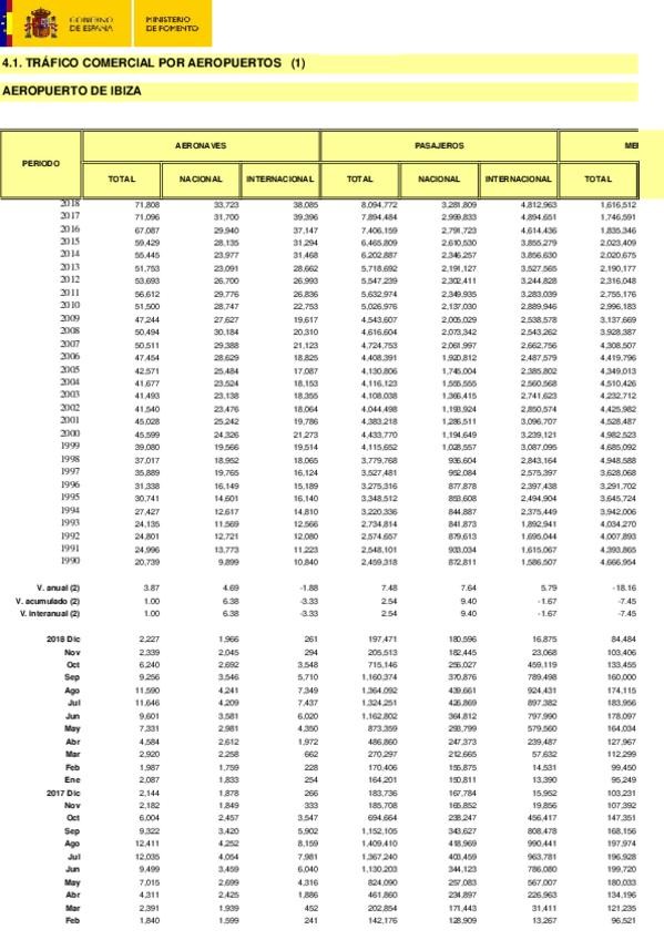
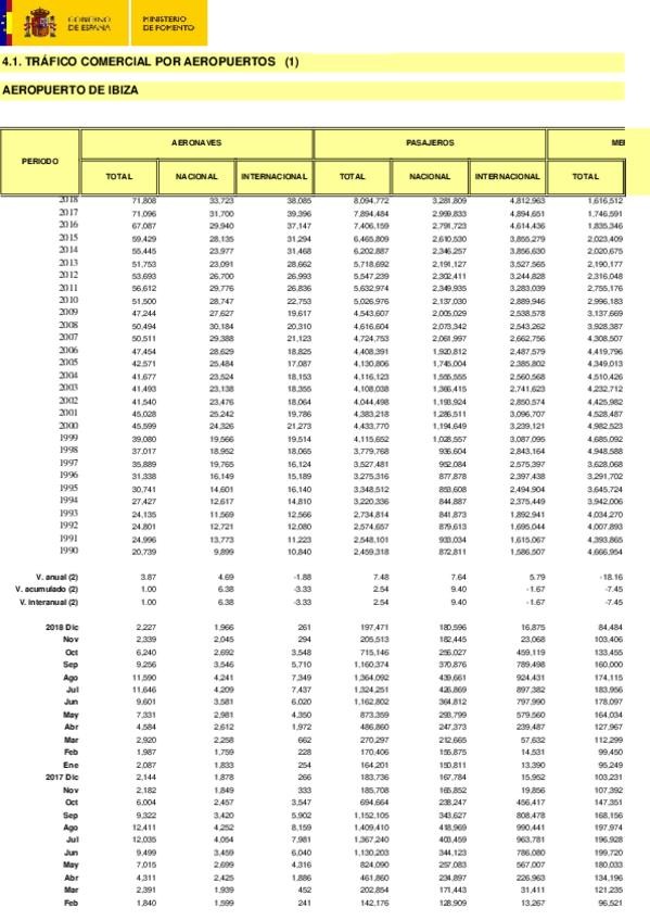
AeropuertoIbiza19942035.xls
Ejercicio-semana-2.docx
2007-act.xls
030208002004.XLS
Ejercicio-semana-2BergantinoCarpinteroGarciaGuillenRedondo.pdf
4 páginas
Prácticas - Entrega-3-BergantinoCamacho.xlsx
xlsx
79
0
Ejercicios - Ej.xlsx
62
Ejercicios - Semana10Ejercicio1BergantinoCarpinteroGarciaGonzalezGuillenRedondo.xlsx
48
Ejercicios - EjercicioSemana8BergantinoCarpinteroGarciaGonzalezGuillenRedondo.xlsx
47
Prácticas - Entrega2BergantinoCamacho12345.xlsx
49
Prácticas - aeropuerto121.xls
xls
31
Ejercicios - 12.-Drenaje.xlsx
38
Ejercicios - Week12.xlsx
Prácticas - Ejercicios1.rar
rar
33
Ejercicios - EjercicioSemana6BergantinoCarpinteroGarciaGuillenRedondo.dwg
dwg
45
Ejercicios - Ejercicio-semana-6.docx
docx
Ejercicios - EjercicioSemana11BergantinoCarpinteroGarciaGonzalezGuillenRedondo.docx
46
Ejercicios - Entrega-3.xlsx
Prácticas - Entrega2BergantinoCamacho6.nb
nb
27
Ejercicios - Problema1-BergantinoCarpinteroGarciaGuillenRedondo.xlsx
23
Apuntes - Ingenieria-Aeroportuaria.pdf
pdf
15 páginas
1
Ejercicios - Ejercicio-semana-1.docx
Ejercicios - Ejercicio-semana-2.docx
20
Apuntes - Semana-8-capas.dwg
Apuntes - Examen-Aeroportuaria-2018.pdf
14 páginas