Ingeniería de Control I

chevron_left
chevron_right
Todo
Apuntes
Ejercicios
Exámenes
Prácticas
Trabajos
chevron_left
chevron_right

Explicación teórica y con fórmulas del contenido del primer parcial de 2026. Va de locos acompañarlo con el otro pdf de ejercicios complementarios que subí

10 páginas

Estos ejercicios vienen muy bien para entender los conceptos explicados en el pdf de teoría que también está en mi perfil

6 páginas

ejercicios

-

Ejercicios Control I

Ejercicios de control I. Primera parte hasta step responses, segunda parte Root Locus y tercera parte Bode y Nyquist. More exercises tiene de todo tipo, usados de repaso para examen final.

ExercisesControlI-Part1.pdf
ExercisesControlI-Part2.pdf
ExercisesControlI-Part3.pdf
Moreexercises.pdf

Teoría control I hasta root locus

13 páginas

Resumen de la teoría de first y second order systems y PID

1 página

Calculos previos lab 2 PID

4 páginas

He publicado nuevos examenes de 3º Ingeniería de Control I: Examenes-otros-anos-parcial-2.pdf

10 páginas

He publicado nuevos examenes de 3º Ingeniería de Control I: Examenes-finales.pdf

4 páginas

He publicado nuevos examenes de 3º Ingeniería de Control I: Examenes-otros-anos-parcial-1.pdf

6 páginas

ejercicios

-

Ejercicios por temas

He publicado nuevos ejercicios de 3º Ingeniería de Control I: Ejercicios por temas

Problemas-analisis-temporal-Estabilidad.pdf
Problemas-Bloques-Funcion-de-transferencia.pdf
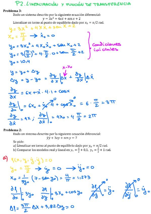
Problemas-linealizacion-y-funcion-de-transferencia.pdf
Problemas-lugar-de-las-raices.pdf
Problemas-reguladores-PID.pdf
Ejercicios-Nyquist.pdf

apuntes

-

Apuntes por temas

He publicado nuevos apuntes de 3º Ingeniería de Control I: Apuntes por temas

Apuntes-analisis-de-sistemas.pdf
Apuntes-analisis-frecuencial.pdf
Apuntes-errores.pdf
Apuntes-lugar-de-las-raices.pdf
Apuntes-Metodo-de-Nyquist.pdf
Apuntes-modelado-de-sistemas.pdf

He publicado nuevos examenes de 3º Ingeniería de Control I: Ordinario-20252026-resolucion.pdf

11 páginas

He publicado nuevos apuntes de 3º Ingeniería de Control I: APUNTES-TODO-INGENIERIA-DE-CONTROL-I.pdf.pdf

10 páginas

apuntes

-

TEORIA Y EJERCICIOS POR TEMAS EXPLICADO

He publicado nuevos apuntes de 3º Ingeniería de Control I: TEORIA Y EJERCICIOS POR TEMAS EXPLICADO

1.-Introduccion.pdf
2.-Modelizacion-de-sistemas.pdf
3.-Transformada-De-Laplace.pdf
4.-Linealizacion.pdf
5.-Funcion-de-Transferencia.pdf
6.-Estabilidad.pdf

He publicado nuevos examenes de 3º Ingeniería de Control I: Parcial 2 - 2025/2026 - Grupo Mañana (enunciado y resolucion).pdf.pdf.pdf

4 páginas

practicas

-

LABORATORIES

He publicado nuevos practicas de 2º Ingeniería de Control I: LABORATORIES

Session-3-Lab-Control.pdf
Session2-Lab-control.pdf
Session-1-Lab-Control.pdf

Apuntes unicamente de teoría de lo referente al primer examen de control I

30 páginas

He publicado nuevos examenes de 3º Ingeniería de Control I: Parcial 1 -2025/2026 - Grupo Mañana (resolución).pdf.pdf.pdf

4 páginas

He publicado nuevos apuntes de 3º Ingeniería de Control I: Ejercicio-examen-resuelto-y-explicado.pdf

3 páginas

He publicado nuevos apuntes de 3º Ingeniería de Control I: Ejercicio-examen-resuelto-y-explicado.pdf

4 páginas

He publicado nuevos apuntes de 3º Ingeniería de Control I: Ejercicio-examen-resuelto-y-explicado.pdf

4 páginas

He publicado nuevos apuntes de 3º Ingeniería de Control I: Ejercicio-Examen-Funciones-de-transferencia.pdf

2 páginas

He publicado nuevos apuntes de 3º Ingeniería de Control I: Ejercicio-Examen-lazo-de-control-de-posicion-con-regulador-PID.pdf

1 página

He publicado nuevos apuntes de 3º Ingeniería de Control I: Ejercicio-examen-lazos-de-control-ante-entradas-de-escalon-unitario.pdf

3 páginas

He publicado nuevos examenes de 3º Ingeniería de Control I: Parcial 1 - 2025/2026 Grupo Tarde (resolucion).pdf.pdf

2 páginas

apuntes

-

TODO POR TEMAS

He publicado nuevos apuntes de 3º Ingeniería de Control I: TODO POR TEMAS

1-Linealizacion-Y-Transformadas.pdf
2-Diagrama-de-bloques.pdf
3-Estabilidad-y-Analisis-Temporal.pdf
4-ERRORES-Y-LDR.pdf
5-Bode-y-frecuencia.pdf
6-Nyquist.pdf

Test + Ejercicios del grupo de mañana 2024/2025

6 páginas

He publicado nuevos practicas de 2º Ingeniería de Control I: LAB2REPORT.pdf

11 páginas

He publicado nuevos practicas de 2º Ingeniería de Control I: LAB1REPORT.pdf

12 páginas

He publicado nuevos practicas de 2º Ingeniería de Control I: LAB3REPORT.pdf

11 páginas

He publicado nuevos examenes de 3º Ingeniería de Control I: Examen-julio.pdf

3 páginas

He publicado nuevos examenes de 3º Ingeniería de Control I: 2o-parcial-junio.pdf

3 páginas
Anónimo

@Anónimo

He publicado nuevos practicas de 3º Ingeniería de Control I: Calculos-previos.pdf

4 páginas

He publicado nuevos apuntes de 3º Ingeniería de Control I: Julio-21.pdf

10 páginas

He publicado nuevos examenes de 3º Ingeniería de Control I: Julio-24-completo.pdf

8 páginas

He publicado nuevos examenes de 3º Ingeniería de Control I: Extraordinario - 2024/2025 (enunciado y resolucion).pdf

17 páginas

He publicado nuevos ejercicios de 2º Ingeniería de Control I: control-ex.pdf

47 páginas

He publicado nuevos apuntes de 2º Ingeniería de Control I: control-theory.pdf

15 páginas
Anónimo

@Anónimo

He publicado nuevos examenes de 3º Ingeniería de Control I: EXAMEN-FINAL-2024-2025.pdf

3 páginas

He publicado nuevos examenes de 3º Ingeniería de Control I: Ordinario-2425-Industriales.pdf

17 páginas

examenes

-

EXAMEN FINAL MAYO 2024

He publicado nuevos examenes de 3º Ingeniería de Control I: EXAMEN FINAL MAYO 2024

Examen-Ordinario-Mayo-2024.pdf
Solucion-Examen-Ordinario-Mayo-2024.pdf

He publicado nuevos apuntes de 3º Ingeniería de Control I: Resumen-Tema-4.pdf

4 páginas

He publicado nuevos apuntes de 3º Ingeniería de Control I: Resumen-T3.pdf

5 páginas

examenes

-

Exámenes - Contenido 2º parcial

He publicado nuevos examenes de 3º Ingeniería de Control I: Exámenes - Contenido 2º parcial

Mayo-18-Diseno.pdf
parcial-2024-FrecDiseno.pdf

apuntes

-

Apuntes Clase (24-25)

Primera parte

Control-I.pdf
Control-I-pt2.pdf
apuntes-clases-diseno.pdf
Anónimo

@Anónimo

He publicado nuevos examenes de 3º Ingeniería de Control I: Examen-ordinario-Sol-24-25.pdf

12 páginas

ejercicios

-

Ejercicios de clase

He publicado nuevos ejercicios de 3º Ingeniería de Control I: Ejercicios de clase

Ejercicios-parcial-1-parte-1.pdf
Ejercicios-parcial-1-parte-2.pdf
Ejercicios-parcial-2-parte-1.pdf
Ejercicios-parcial-2-parte-2.pdf

He publicado nuevos apuntes de 3º Ingeniería de Control I: Resumenesformularios.pdf

8 páginas

He publicado nuevos examenes de 3º Ingeniería de Control I: Mayo-2025.pdf

2 páginas

He publicado nuevos examenes de 3º Ingeniería de Control I: Parcial 2 -24/25 Grupo Tarde (enunciado y resolución).pdf

6 páginas

He publicado nuevos examenes de 3º Ingeniería de Control I: Parcial 2 - 22/23 Grupo Tarde (enunciado).pdf

2 páginas
Anónimo

@Anónimo

He publicado nuevos examenes de 3º Ingeniería de Control I: Parciales-Academia.pdf

5 páginas
Anónimo

@Anónimo

He publicado nuevos examenes de 3º Ingeniería de Control I: Solucion-2-examen-2C.pdf

6 páginas

practicas

-

PREVIAS - PRÁCTICAS

He publicado nuevos practicas de 3º Ingeniería de Control I: PREVIAS - PRÁCTICAS

Previa-2a-Itahisa-Brea.pdf
Previa-2b-Itahisa-Brea.pdf
Previa-3-Itahisa-Brea.pdf
Previa-4-Itahisa-Brea.pdf
Previa-5-Itahisa-Brea.pdf
Previa-6-Itahisa-Brea.pdf

examenes

-

Exámenes - contenido 1º parcial

He publicado nuevos examenes de 3º Ingeniería de Control I: Exámenes - contenido 1º parcial

Mayo-2024-Control-I.pdf
Julio-24-Control-I.pdf
Julio-2023-Control-I.pdf
Julio-22-Control-I.pdf
Mayo-22-Control-I.pdf
Previa-8-Itahisa-Brea.pdf

He publicado nuevos examenes de 3º Ingeniería de Control I: Mayo-2024.pdf

6 páginas

apuntes

-

Material complementario

Material complementario con algunas anotaciones para facilitar la comprensión

MC-1.pdf

He publicado nuevos ejercicios de 3º Ingeniería de Control I: P9BODE240419091000-resuelto.pdf

3 páginas

He publicado nuevos ejercicios de 3º Ingeniería de Control I: P7-LUGAR-DE-LAS-RAICES-resuelto.pdf

10 páginas

He publicado nuevos ejercicios de 3º Ingeniería de Control I: P6-ERRORES-resueltos.pdf

5 páginas