Funcion de Transferencia y Mason.pdf

rulabenura

Ejercicios Todos los Temas + Soluciones

23 archivos·

Todos los temas con soluciones detalladas

T1_Sistemas_Fisicos.pdf

3 páginas

01.1Ejercicios_transformadas_de_Laplace.pdf

2 páginas

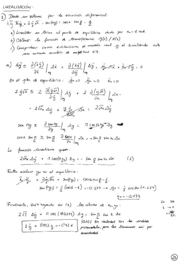
Ejercicios_linealizacion.pdf

1 página

Funcion de Transferencia y Mason.pdf

4 páginas

Enunciados_ejercicios_funcion_transferencia.pdf

3 páginas

Ejercicios_estabilidad.pdf

1 página

Ejercicios_analisis_temporal.pdf

2 páginas

Errores en regimen permanente.pdf

1 página

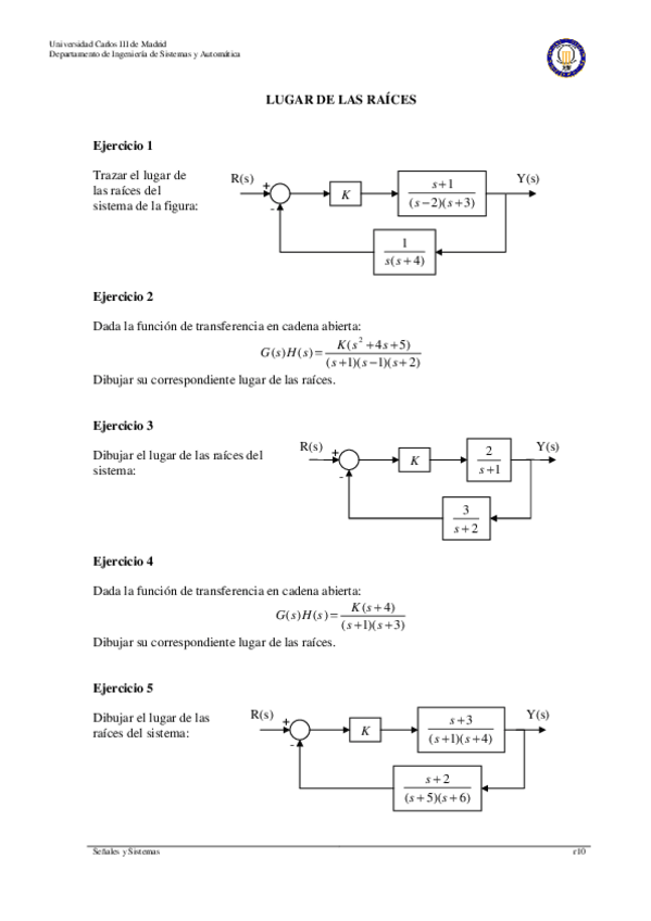
Ejercicios_lugar_de_las_raices.pdf

3 páginas

Reguladores Dominio Temporal.pdf

2 páginas

Analisis Frecuencial. Bode.pdf

3 páginas

10.1Ejercicios_Nyquist.pdf

2 páginas

T1_Soluciones_Sistemas_Fisicos.pdf

4 páginas

T3_Soluciones_Linealizacion_Funcion_Transferencia.pdf

5 páginas

T5_Soluciones_Analisis_Temp_Estabilidad.pdf

5 páginas

T6_Soluciones_Errores.pdf

4 páginas

T2_Soluciones_Transformadas.pdf

10 páginas

T4_Soluciones_Funcion_de_Transferencia.pdf

14 páginas

T7_Soluciones_Lugar_de_las_Raices.pdf

14 páginas

T8_Soluciones_Reguladores_Dominio_Temporal.pdf

11 páginas

T5_Soluciones_Analisis_Temporal.pdf

11 páginas

T10_Soluciones problemas Nyquist.pdf

27 páginas

T9_Soluciones_Analisis_Frecuencial.pdf

13 páginas

content_copy

Archivos recomendados