Portada
Asignatura
Grado en Ingeniería en Electrónica Industrial y Automática (ULe)
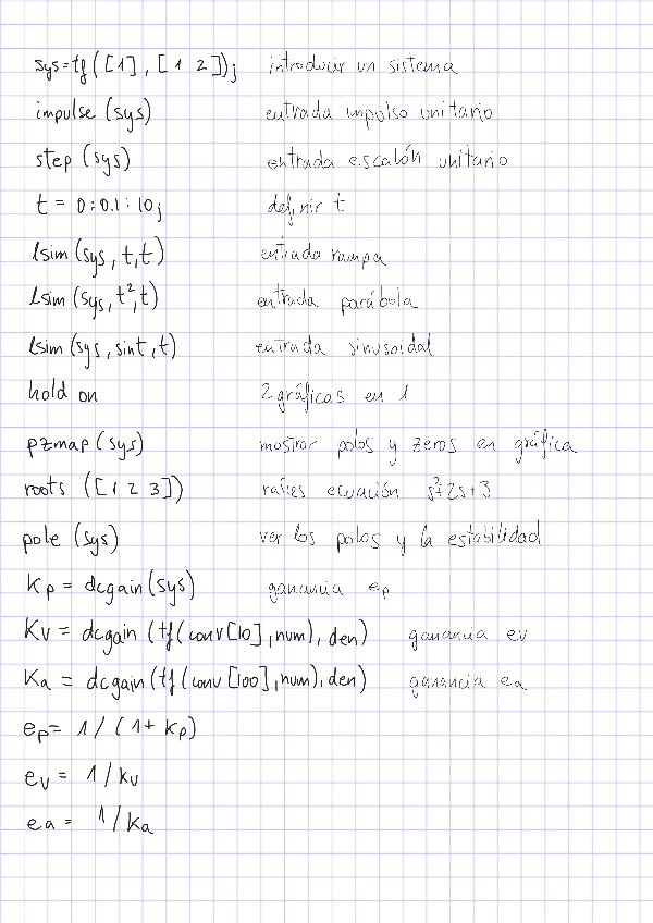
Ingeniería de Control I
Fecha de subida
14 ene 2025
Categoría
examenes
Etiquetas
Exámenes - Noviembre-2023.pdf
pdf
9 páginas
23
1
Exámenes - 1ParcialNov2020resuelto.pdf
21
Ejercicios - Claseproblemas1examen2024.pdf
7 páginas
16
0
Ejercicios - Problemasresueltos.pdf
12 páginas
14
Exámenes - Noviembre-2020.pdf
2 páginas
17
Exámenes - Enero-2021.pdf
Exámenes - Formulario-practicas.pdf
3 páginas
6
Exámenes - Noviembre-2017.pdf
15
Exámenes - Examenes-de-practicas-Control-I.pdf
7
Apuntes - Tema-2-apuntes.pdf
Exámenes - Examen-Practicas-2024.pdf
8 páginas
Exámenes - Enero-2025.pdf
10
Apuntes - Tema-1-apuntes.pdf
5 páginas
12
Exámenes - Enero-2024.pdf
13 páginas
8
Exámenes - Diciembre-2019.pdf
Ejercicios - Teoria.pdf
Ejercicios - Problemas-Resueltos-2-Parcial.pdf
14 páginas
Ejercicios - Clase-Problemas-2.pdf
9
Apuntes - Ejercicio-examen-lazos-de-control-ante-entradas-de-escalon-unitario.pdf
2
Apuntes - Ejercicio-Examen-lazo-de-control-de-posicion-con-regulador-PID.pdf
1 página