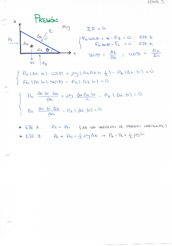
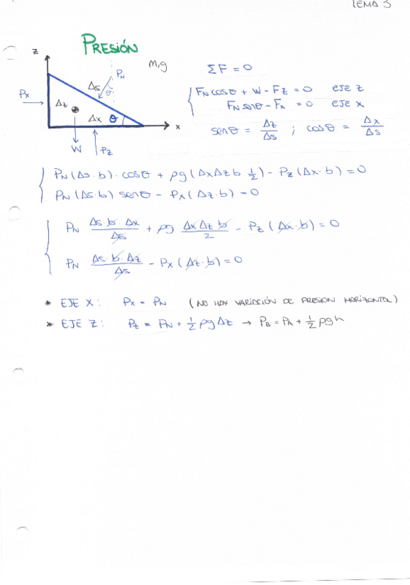
Portada
Asignatura
Grado en Ingeniería de Tecnologías Industriales (UPNA)
Ingeniería de Fluidos
Fecha de subida
27 sep 2022
Categoría
apuntes
Etiquetas
Exámenes - Examenes-Resueltos-Fluidos.pdf
pdf
21 páginas
35
4
Ejercicios - Problemas-Adicionales-Resueltos.pdf
44 páginas
45
1
Exámenes - Solucion-ordinario-24-25.pdf
7 páginas
90
Exámenes - TEMA-3-apuntesexamenes.pdf
12 páginas
92
0
Exámenes - Examenordinarioresuelto.pdf
5 páginas
104
2
Apuntes - Resumen-Fluidos.pdf
2 páginas
88
Apuntes - Temas-4-8.pdf
27 páginas
86
Exámenes - ExamenesT567FluidosSbl.pdf
43 páginas
73
Apuntes - Demostraciones.pdf
11 páginas
107
Exámenes - Examenes-Anteriores-Fluidos-Resueltos-II-JIb.pdf
26 páginas
Apuntes - Demostraciones-FLUIDOS-JIb.pdf
96
Exámenes - Examenes-Anteriores-Fluidos-Resueltos-I-JIb.pdf
17 páginas
54
Ejercicios - EjerciciosT3FluidosSbl.pdf
20 páginas
74
Apuntes - Tema-3.pdf
28 páginas
77
Ejercicios - Problemas Resueltos Tema 3 UPNA
111
Apuntes - Demostraciones-y-Ejercicios-Tema-3.pdf
24 páginas
119
Exámenes - EXAMENES.pdf
30 páginas
38
Ejercicios - Problemas-Tema-3-Fluidos-JIb.pdf
10 páginas
81
Ejercicios - Problemas Resueltos Tema 6 UPNA
9 páginas
Test - VERDADERO-O-FALSO-MULTIPLE-CHOICE.pdf
3 páginas
63