alexpp
Todos los Boletines Resueltos
Boletin Tema 1.pdf
7 páginas
Boletin Tema 2.pdf
24 páginas
Boletin Tema 3.pdf
17 páginas
Boletin Tema 5.pdf
9 páginas
Boletin Tema 6.pdf
18 páginas
Boletin Tema 8.pdf
26 páginas
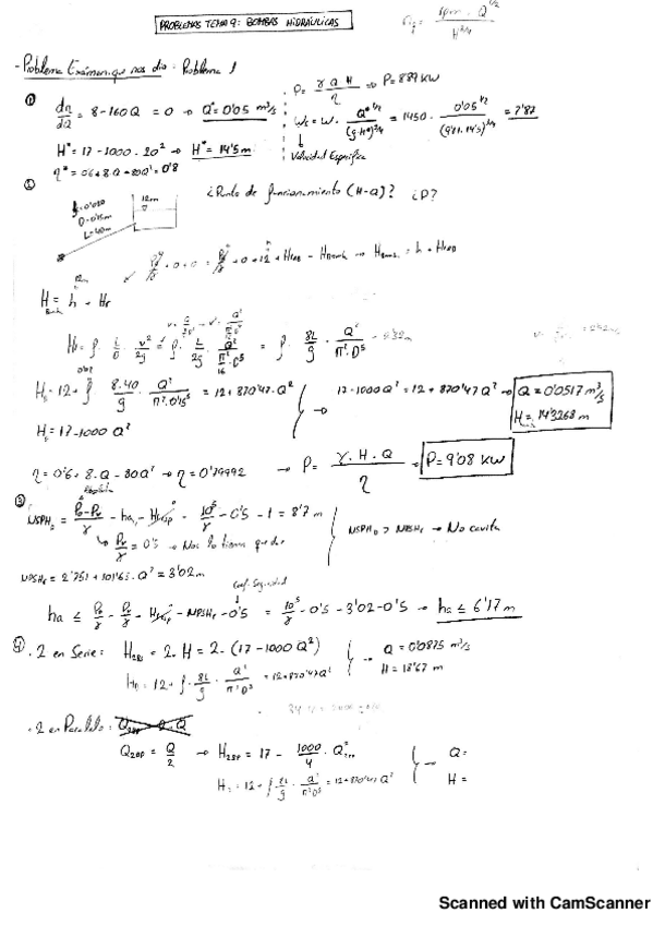
Boletin Tema 9 y Bombas_20180920133349.pdf
Exámenes - examenes recopilacion.rar
rar
30
0
Exámenes - Problema Resuelto Examen Bombas.pdf
pdf
4 páginas
237
Exámenes - Examenes.pdf
12 páginas
217
Ejercicios - TODO.pdf
142 páginas
302
Exámenes - Problema Resuelto Examen Sep 16 Bombas.pdf
149
Ejercicios - MECANICA-DE-FLUIDOS-INCOMPRESIBLES-Y-TURBOMAQUINAS-HIDRAULICAS.pdf
344 páginas
122
Ejercicios - bombasfluidos.pdf
170
Otros - Libro Problemas. MECANICA DE FLUIDOS INCOMPRESIBLES Y TURBOMAQUINAS HIDRAULICA.pdf
111
Exámenes - Examen1 IFM.pdf
169
Apuntes - Formulario.pdf
3 páginas
52
Apuntes - Problemas-de-clase.pdf
45 páginas
156
Exámenes - Examen 5 IFM.pdf
132
Ejercicios - Boletin Tema 1.pdf
110
2
Apuntes - TODOS-LOS-PROBLEMAS-FRANCESCO.pdf
42 páginas
296
1
Prácticas - Tuberías en Paralelo.pdf
6 páginas
87
Prácticas - PrácticaFluidos.xlsx
xlsx
37
Otros - Libro Teoria. FLUIDOS INCOMPRENSIBLES Y TURBOMAQUINAS HIDRAULICAS.pdf
716 páginas
98
Exámenes - Exámenes 7 y 9 y problemas de bombas.pdf
134
Apuntes - MECANICA DE FLUIDOS INCOMPRESIBLES Y TURBOMAQUINAS HIDRAULICAS. PROBLEMAS RESUELTOS.pdf
64
5
Prácticas - Practica-3-perdidas-de-carga.pdf
5 páginas
247