Todo
Apuntes
Ejercicios
Exámenes
Prácticas
Test
chevron_left
chevron_right

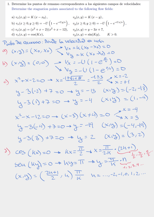
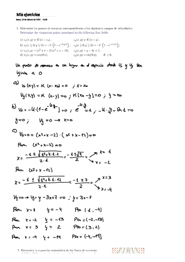
He publicado nuevos ejercicios de 2º Ingeniería Fluidomecánica: Ejercicios-cinematica-Fluidos.pdf

4 páginas

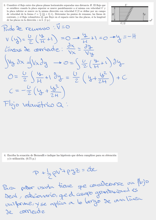
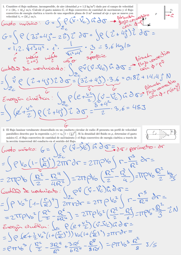
He publicado nuevos ejercicios de 2º Ingeniería Fluidomecánica: Ejercicios-ecuaciones-generales-Fluidos.pdf

28 páginas

He publicado nuevos ejercicios de 2º Ingeniería Fluidomecánica: Ejercicios-fluidoestatica-Fluidos.pdf

8 páginas

He publicado nuevos ejercicios de 2º Ingeniería Fluidomecánica: Ejercicios-flujo-en-conductos-Fluidos.pdf

3 páginas

He publicado nuevos ejercicios de 2º Ingeniería Fluidomecánica: Ejercicios-analisis-dimensional-Fluidos.pdf

12 páginas

He publicado nuevos ejercicios de 2º Ingeniería Fluidomecánica: Ejercicios-introduccion-Fluidos.pdf

2 páginas

He publicado nuevos examenes de 2º Ingeniería Fluidomecánica: Parcial-2-2023-Fluidos.pdf

6 páginas

He publicado nuevos examenes de 2º Ingeniería Fluidomecánica: Parcial-1-2023-Fluidos.pdf

9 páginas

He publicado nuevos apuntes de 2º Ingeniería Fluidomecánica: PROBLEMAS-EC.-GENERALES-ACADEMIA.pdf

18 páginas

apuntes

-

Tema 11.- flujo externo

He publicado nuevos apuntes de 2º Ingeniería Fluidomecánica: Tema 11.- flujo externo

ejercicios-de-tipo-examen.pdf
ejercicios-de-tipo-examen.pdf
flujo-externo.pdf
flujo-externo.pdf

apuntes

-

Tema 10.- flujo en conductos

He publicado nuevos apuntes de 2º Ingeniería Fluidomecánica: Tema 10.- flujo en conductos

ejercicios-perdidas-primarias.pdf
ejercicios-perdidas-primarias.pdf
mas-ejercicios-perdidas-primarias-y-secundarias.pdf
mas-ejercicios-perdidas-primarias-y-secundarias.pdf
perdidas-primarias.pdf
perdidas-primarias.pdf

apuntes

-

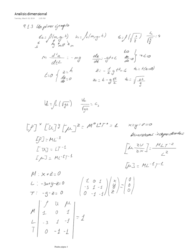
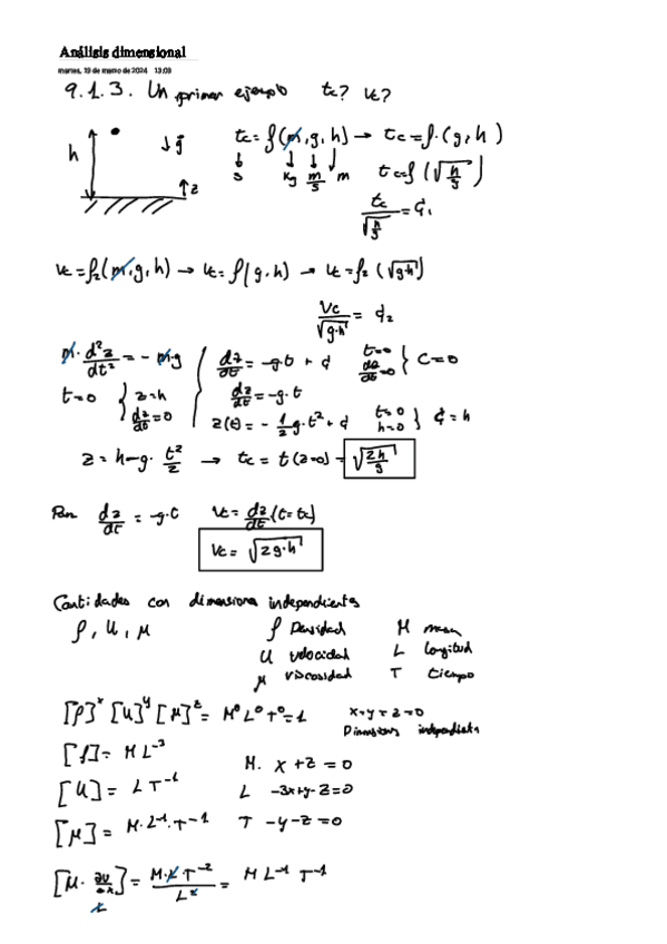
Tema 9.- Análisis dimensional

He publicado nuevos apuntes de 2º Ingeniería Fluidomecánica: Tema 9.- Análisis dimensional

ejercicios-analisis-dimensional.pdf
ejercicios-analisis-dimensional.pdf
mas-ejercicios-analisis-dimensional.pdf
mas-ejercicios-analisis-dimensional.pdf
teoria-de-analisis-dimensional.pdf
teoria-de-analisis-dimensional.pdf

apuntes

-

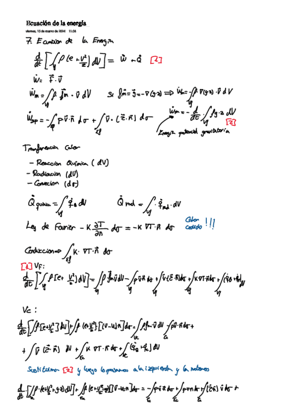
Tema 7.- ecuacion de la energia

He publicado nuevos apuntes de 2º Ingeniería Fluidomecánica: Tema 7.- ecuacion de la energia

Ecuacion-de-la-energia.pdf
Ecuacion-de-la-energia.pdf
ejercicios-ecuacion-de-la-energia.pdf
ejercicios-ecuacion-de-la-energia.pdf
mas-ejercicios-ecuacion-de-la-energia.pdf
mas-ejercicios-ecuacion-de-la-energia.pdf

apuntes

-

Tema 6.- Cantidad de movimiento

He publicado nuevos apuntes de 2º Ingeniería Fluidomecánica: Tema 6.- Cantidad de movimiento

Cantidad-de-movimiento.pdf
Cantidad-de-movimiento.pdf
Ecuacion-de-Bernoulli.pdf
Ecuacion-de-Bernoulli.pdf
Ej.-Cantidad-de-movimiento.pdf
Ej.-Cantidad-de-movimiento.pdf

apuntes

-

Tema 5.- Continuidad

He publicado nuevos apuntes de 2º Ingeniería Fluidomecánica: Tema 5.- Continuidad

Resumen.pdf
Resumen.pdf
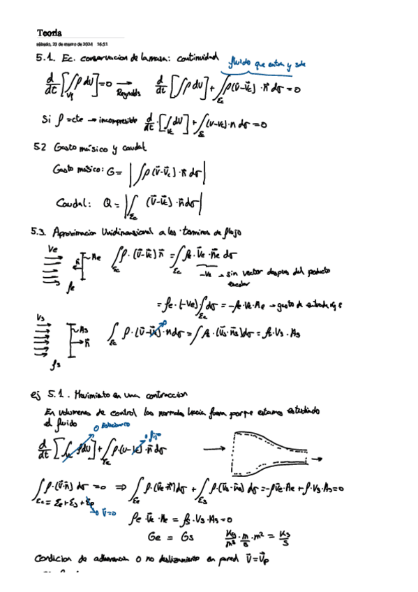
Teoria.pdf
Teoria.pdf

apuntes

-

Tema 4.- Leyes de conservacion y teorema de transporte

He publicado nuevos apuntes de 2º Ingeniería Fluidomecánica: Tema 4.- Leyes de conservacion y teorema de transporte

Ejercicios.pdf
Ejercicios.pdf
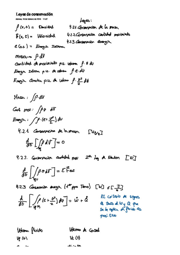
Leyes-de-conservacion.pdf
Leyes-de-conservacion.pdf

apuntes

-

Tema 3.- cinematica

He publicado nuevos apuntes de 2º Ingeniería Fluidomecánica: Tema 3.- cinematica

Cinematica.pdf
Cinematica.pdf
ejercicios.pdf
ejercicios.pdf
Mis-ejercicios.pdf
Mis-ejercicios.pdf

apuntes

-

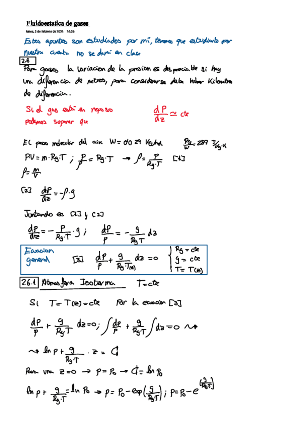
Tema 2.- fluidoestatica

He publicado nuevos apuntes de 2º Ingeniería Fluidomecánica: Tema 2.- fluidoestatica

ejercicios.pdf
ejercicios.pdf
Fluidoestatica-de-gases.pdf
Fluidoestatica-de-gases.pdf
Fluidoestatica.pdf
Fluidoestatica.pdf

apuntes

-

Tema 1 - Introduccion

He publicado nuevos apuntes de 2º Ingeniería Fluidomecánica: Tema 1 - Introduccion

Introduccion.pdf
Introduccion.pdf
Problemas.pdf
Problemas.pdf

examenes

-

Examenes

He publicado nuevos examenes de 2º Ingeniería Fluidomecánica: Examenes

ejemplo-de-examen.pdf
ejemplo-de-examen.pdf

apuntes

-

Academia (2 parcial)

He publicado nuevos apuntes de 2º Ingeniería Fluidomecánica: Academia (2 parcial)

Tema6-ejercicios.pdf
Tema6-ejercicios.pdf
Tema-5-Ejercicios.pdf
Tema-5-Ejercicios.pdf
Tema7-Flujo-externo.pdf
Tema7-Flujo-externo.pdf

He publicado nuevos ejercicios de 2º Ingeniería Fluidomecánica: ejs-todo-el-curso.pdf

57 páginas

apuntes

-

7 temas Ingeniería Fluidomecánica

He publicado nuevos apuntes de 2º Ingeniería Fluidomecánica: 7 temas Ingeniería Fluidomecánica

Tema-1-IF.pdf
Tema-1-IF.pdf
Tema-2-IF.pdf
Tema-2-IF.pdf
Tema-3-IF.pdf
Tema-3-IF.pdf

He publicado nuevos apuntes de 2º Ingeniería Fluidomecánica: Analisis-dimensional.pdf

2 páginas

ejercicios

-

Ejercicios academia (parcial 1)

He publicado nuevos ejercicios de 2º Ingeniería Fluidomecánica: Ejercicios academia (parcial 1)

Tema-3-Ejercicios.pdf
Tema-3-Ejercicios.pdf
Examenes-fluidos-1-parcial.pdf
Examenes-fluidos-1-parcial.pdf
Aplicaciones-de-la-ec.-de-Bernoulli.pdf
Aplicaciones-de-la-ec.-de-Bernoulli.pdf

practicas

-

LABORATORIOS

He publicado nuevos practicas de 2º Ingeniería Fluidomecánica: LABORATORIOS

Lab1-descarga-de-deposito.pdf
Lab1-descarga-de-deposito.pdf
Lab-3-Fluidomecanica.pdf
Lab-3-Fluidomecanica.pdf
Lab-2-Tubo-de-Venturi.pdf
Lab-2-Tubo-de-Venturi.pdf

He publicado nuevos apuntes de 2º Ingeniería Fluidomecánica: Lab-4.-Internal-flow.pdf

14 páginas

He publicado nuevos apuntes de 2º Ingeniería Fluidomecánica: Lab-3.-Falling-Ball-Viscometer.pdf

11 páginas

He publicado nuevos apuntes de 2º Ingeniería Fluidomecánica: Lab-2.-Venturi-tube.pdf

14 páginas

He publicado nuevos practicas de 2º Ingeniería Fluidomecánica: Lab-1.-Water-tank-discharge.pdf

11 páginas

examenes

-

Apuntes y ejercicios resueltos de toda la asignatura

He publicado nuevos examenes de 2º Ingeniería Fluidomecánica: Apuntes y ejercicios resueltos de toda la asignatura

Ecuaciones-de-Navier-Stokes.pdf
Ecuaciones-de-Navier-Stokes.pdf
Tema-1-introduccion.pdf
Tema-1-introduccion.pdf
Tema-2-Fluidoestatica.pdf
Tema-2-Fluidoestatica.pdf

He publicado nuevos apuntes de 2º Ingeniería Fluidomecánica: 2-partial.pdf

11 páginas

He publicado nuevos apuntes de 2º Ingeniería Fluidomecánica: 1-Partial.pdf

11 páginas

He publicado nuevos ejercicios de 2º Ingeniería Fluidomecánica: SOLUCIONESTEMAS6Y7.pdf

2 páginas

He publicado nuevos ejercicios de 2º Ingeniería Fluidomecánica: SOLUCIONESTEMA11.pdf

2 páginas

He publicado nuevos ejercicios de 2º Ingeniería Fluidomecánica: SOLUCIONESTEMA10FLUJOENCONDUCTOS.pdf

4 páginas

He publicado nuevos ejercicios de 2º Ingeniería Fluidomecánica: SOLUCIONESTEMA9ANALISISDIMENSIONAL.pdf

7 páginas

He publicado nuevos ejercicios de 2º Ingeniería Fluidomecánica: SOLUCIONESTEMA5ECUACIONDECONTINUIDAD.pdf

4 páginas

He publicado nuevos ejercicios de 2º Ingeniería Fluidomecánica: SOLUCIONESTEMA4LEYESDECONSERVACIONYTEOREMADELTRANSPORTE.pdf

3 páginas

He publicado nuevos ejercicios de 2º Ingeniería Fluidomecánica: SOLUCIONESTEMA3CINEMATICA.pdf

2 páginas

He publicado nuevos ejercicios de 2º Ingeniería Fluidomecánica: SOLUCIONESTEMA2FLUIDOSTATICA.pdf

10 páginas

He publicado nuevos ejercicios de 2º Ingeniería Fluidomecánica: SOLUCIONESTEMA1INTRODUCCION.pdf

1 página

He publicado nuevos examenes de 2º Ingeniería Fluidomecánica: SOLUCIONMAYO2020.pdf

2 páginas

He publicado nuevos examenes de 2º Ingeniería Fluidomecánica: SOLUCIONJUNIO2022.pdf

3 páginas

He publicado nuevos examenes de 2º Ingeniería Fluidomecánica: SOLUCIONJULIO2021.pdf

2 páginas

He publicado nuevos examenes de 2º Ingeniería Fluidomecánica: SOLUCIONABRIL2021.pdf

2 páginas

He publicado nuevos apuntes de 2º Ingeniería Fluidomecánica: APUNTESTODOELCURSO.pdf

6 páginas

He publicado nuevos practicas de 2º Ingeniería Fluidomecánica: Laboratorio-1-de-Fluidos.pdf

14 páginas

He publicado nuevos practicas de 2º Ingeniería Fluidomecánica: LAB-3-FLUIDOS.pdf

14 páginas

He publicado nuevos practicas de 2º Ingeniería Fluidomecánica: lab-2-fluidos.pdf

8 páginas

He publicado nuevos practicas de 2º Ingeniería Fluidomecánica: Fluidos-P4.pdf

18 páginas

practicas

-

Prácticas Fluidos

He publicado nuevos practicas de 2º Ingeniería Fluidomecánica: Prácticas Fluidos

P1-Fluidos-Grupo-3.pdf
P1-Fluidos-Grupo-3.pdf
P2-Fluidos-Grupo-3.pdf
P2-Fluidos-Grupo-3.pdf
P3-Fluidos-Grupo-3.pdf
P3-Fluidos-Grupo-3.pdf

practicas

-

Prácticas fluidos resueltas

He publicado nuevos practicas de 2º Ingeniería Fluidomecánica: Prácticas fluidos resueltas

Practica-1.pdf
Practica-1.pdf
Practica-2.pdf
Practica-2.pdf
Practica-3.pdf
Practica-3.pdf

ejercicios

-

Ejercicios resueltos de toda la asignatura

He publicado nuevos ejercicios de 2º Ingeniería Fluidomecánica: Ejercicios resueltos de toda la asignatura

Problemas-resueltos-analisis-dimensonal.pdf
Problemas-resueltos-analisis-dimensonal.pdf
Problemas-resueltos-ecuaciones-generales.pdf
Problemas-resueltos-ecuaciones-generales.pdf
Problemas-resueltos-fluido-estatica.pdf
Problemas-resueltos-fluido-estatica.pdf

practicas

-

Prácticas resueltas

He publicado nuevos practicas de 2º Ingeniería Fluidomecánica: Prácticas resueltas

Practica-1-fluidos.pdf
Practica-1-fluidos.pdf
Practica-2-fluidos.pdf
Practica-2-fluidos.pdf
Practica-3-fluidos.pdf
Practica-3-fluidos.pdf

examenes

-

Exámenes finales con soluciones

He publicado nuevos examenes de 2º Ingeniería Fluidomecánica: Exámenes finales con soluciones

Examenes-finales-resueltos.pdf
Examenes-finales-resueltos.pdf
Extraordinario-2017-con-solucion.pdf
Extraordinario-2017-con-solucion.pdf
Ordinario-2018-con-solucion.pdf
Ordinario-2018-con-solucion.pdf

apuntes

-

Temario Y ejercicios (2 parcial)

He publicado nuevos apuntes de 2º Ingeniería Fluidomecánica: Temario Y ejercicios (2 parcial)

Ejercicios-Analisis-Dimensional.pdf
Ejercicios-Analisis-Dimensional.pdf
Teoria-Flujo-Externo.pdf
Teoria-Flujo-Externo.pdf
Flujo-Interno-flujo-en-conductos.pdf
Flujo-Interno-flujo-en-conductos.pdf

He publicado nuevos practicas de 2º Ingeniería Fluidomecánica: Practica-4-Flujo-interno-en-instalaciones-hidraulicas.pdf

16 páginas

He publicado nuevos practicas de 2º Ingeniería Fluidomecánica: Práctica 3 - Viscosímetro de caída de bolas.pdf

6 páginas

He publicado nuevos practicas de 2º Ingeniería Fluidomecánica: L1-Descarga-de-depositos.pdf

10 páginas