chevron_left
chevron_right
Todo
Apuntes
Ejercicios
Exámenes
chevron_left
chevron_right

He publicado nuevos apuntes de 3º Ingeniería Térmica en Industrias Agroalimentarias: Formulario-Primer-Parcial.pdf

12 páginas

He publicado nuevos apuntes de 3º Ingeniería Térmica en Industrias Agroalimentarias: 1o-Parcial-de-Termica.pdf

9 páginas

He publicado nuevos apuntes de 3º Ingeniería Térmica en Industrias Agroalimentarias: Teoria-termica-2-parte.pdf

15 páginas

He publicado nuevos ejercicios de 3º Ingeniería Térmica en Industrias Agroalimentarias: Problemas-segunda-parte.pdf

36 páginas

He publicado nuevos apuntes de 3º Ingeniería Térmica en Industrias Agroalimentarias: Chuleratio-final-termica.pdf

31 páginas

Que llevar al primer parcial

74 páginas

He publicado nuevos examenes de 3º Ingeniería Térmica en Industrias Agroalimentarias: Practica-Posible-Examen-Calentador-Placas.pdf

8 páginas

apuntes

-

Apuntes T8-final

He publicado nuevos apuntes de 3º Ingeniería Térmica en Industrias Agroalimentarias: Apuntes T8-final

T.pdf
TEMA-9.pdf
T.pdf
T.pdf
T.pdf
T.pdf

He publicado nuevos ejercicios de 3º Ingeniería Térmica en Industrias Agroalimentarias: PROBLEMA-1-PLACA.pdf

4 páginas
Anónimo

@Anónimo

ejercicios

-

Resolución problemas T3

He publicado nuevos ejercicios de 3º Ingeniería Térmica en Industrias Agroalimentarias: Resolución problemas T3

PROBLEMA-1.pdf
PROBLEMA-2.pdf
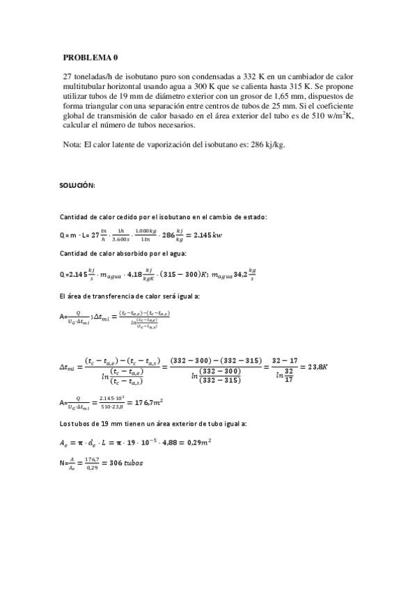
PROBLEMA-0.pdf
PROBLEMA-5.pdf
PROBLEMA-7.pdf
PROBLEMA-6.pdf
Anónimo

@Anónimo

ejercicios

-

Resolución problemas T2

He publicado nuevos ejercicios de 3º Ingeniería Térmica en Industrias Agroalimentarias: Resolución problemas T2

EXAMENFINALDEPROCESOS-Diciembre-2008.pdf
Tema2.pdf
Anónimo

@Anónimo

He publicado nuevos ejercicios de 3º Ingeniería Térmica en Industrias Agroalimentarias: PROBLEMAS-TEMA-1.pdf

2 páginas

apuntes

-

apuntes T1-7

He publicado nuevos apuntes de 3º Ingeniería Térmica en Industrias Agroalimentarias: apuntes T1-7

T.pdf
TEMA-6.pdf
TEMA5.pdf
TEMA-4.pdf
T.pdf
Resumen-T1-1.pdf
¡Estás al día!

¡Estás al día!

Has visto todos los archivos