Todo
Apuntes
Ejercicios
chevron_left
chevron_right

Estos son apuntes y ejercicios de la asignatura de ingeniería térmica de cuarto de carrera. Son apuntes que también sirven para estudiar Transmisión de Calor y la parte de térmica del Master en ingeniería industrial.

149 páginas

He publicado nuevos apuntes de 4º Ingeniería Térmica: DEMOS-DE-TEORIA.pdf

7 páginas

He publicado nuevos ejercicios de 4º Ingeniería Térmica: 4.FRIGORIFICOS.pdf

28 páginas

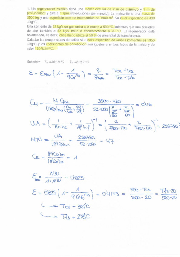
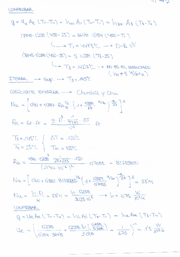
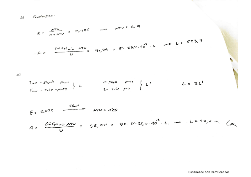
He publicado nuevos ejercicios de 4º Ingeniería Térmica: 3.REGENERADORES.pdf

4 páginas

He publicado nuevos ejercicios de 4º Ingeniería Térmica: 2.RECUPERADORES.pdf

27 páginas

He publicado nuevos ejercicios de 4º Ingeniería Térmica: 1.CONDUCCION-Y-CONVECCION.pdf

14 páginas

He publicado nuevos apuntes de 4º Ingeniería Térmica: Temas7-8IngTermica.pdf

9 páginas

He publicado nuevos apuntes de 4º Ingeniería Térmica: Tema6IngTermica.pdf

1 página

He publicado nuevos apuntes de 4º Ingeniería Térmica: Temas-4-y-5.pdf

3 páginas

He publicado nuevos apuntes de 4º Ingeniería Térmica: Tema4IngTermica.pdf

5 páginas

He publicado nuevos apuntes de 4º Ingeniería Térmica: Tema3IngTermica.pdf

2 páginas

He publicado nuevos apuntes de 4º Ingeniería Térmica: Tema-2Esquema-Clasificacion.pdf

8 páginas

He publicado nuevos apuntes de 4º Ingeniería Térmica: Tema2IngTermica.pdf

11 páginas

He publicado nuevos apuntes de 4º Ingeniería Térmica: Tema1IngTermica.pdf

2 páginas

Ejercicio de entrega

7 páginas

He publicado nuevos ejercicios de 4º Ingeniería Térmica: EJERCICIOS-RECUPERADORES.pdf

34 páginas
¡Estás al día!

¡Estás al día!

Has visto todos los archivos