Portada
Asignatura
Grado en Ingeniería de Tecnologías Industriales (UCA)
Instalaciones Eléctricas
Fecha de subida
03 jul 2016
Categoría
apuntes
Etiquetas
Exámenes - MODELO EXAMEN I.pdf
pdf
6 páginas
251
1
Apuntes - Ejercicios Clase Instalaciones Eléctricas.pdf
84 páginas
24
6
Exámenes - EXAMEN RESUELTO FEBRERO 2015.pdf
7 páginas
187
0
Exámenes - MODELO EXAMEN II.pdf
202
Exámenes - wuolah3Febrero LRE.jpg
jpg
5
Exámenes - MODELO EXAMEN III.pdf
182
Exámenes - EXAMEN 16 ENERO 2017.pdf
2 páginas
183
Exámenes - MODELO EXAMEN IV.pdf
8 páginas
184
Exámenes - MODELO EXAMEN V.pdf
172
Apuntes - CHULETARIO INSTALACIONES.pdf
127
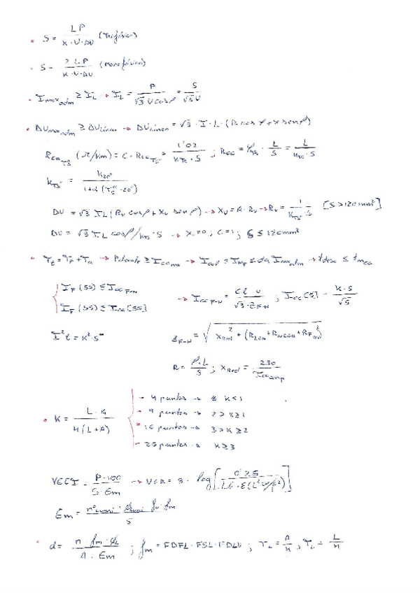
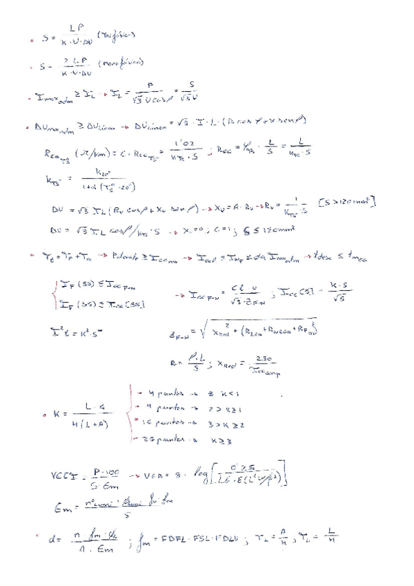
Apuntes - formulario.pdf
97
Exámenes - Ejercicios para examen.pdf
14 páginas
111
Apuntes - guia-para-problemas.pdf
15 páginas
205
Exámenes - 20190129_104827.jpg
28
Apuntes - Temario Instalaciones Eléctricas.pdf
516 páginas
2
Apuntes - TEMA-012.pdf
18 páginas
64
Apuntes - problemas-clase-IE.pdf
32 páginas
200
Apuntes - FORMULARIO-PASO-A-PASO-COMPLETO.pdf
21 páginas
136
Apuntes - Examen-Instalaciones-2023.pdf
12 páginas
87
Apuntes - ilovepdfmerged.pdf
20 páginas
181