Portada
Asignatura
Grado en Ingeniería en Electrónica y Automática Industrial (UMH)
Instrumentación Electrónica
Fecha de subida
29 ago 2020
Categoría
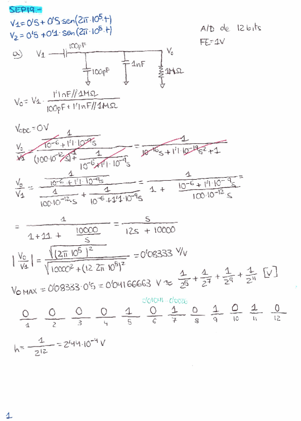
examenes
Etiquetas
Apuntes - Resumen-T2.pdf
pdf
6 páginas
134
0
Apuntes - Resumen-T1.pdf
5 páginas
127
Apuntes - Ejercicios-T2-resueltos.pdf
12 páginas
107
Apuntes - Apuntes-T1-de-clase.pdf
16 páginas
129
Apuntes - Resumen-T3.pdf
95
Apuntes - Apuntes-T3-de-clase.pdf
115
Apuntes - Apuntes-T2-de-clase.pdf
17 páginas
96
Apuntes - Formulario.pdf
4 páginas
88
Apuntes - Ejercicios-T1-resueltos.pdf
14 páginas
102
Exámenes - SOLDIC18.pdf
3 páginas
93
Exámenes - SOLFEB20.pdf
86
Exámenes - SOLDIC19.pdf
75
Exámenes - SOLSEP18.pdf
77
Apuntes - Conceptos.pdf
73
Exámenes - SOLFEB19.pdf
68
Apuntes - Errores-del-AO.pdf
67
Exámenes - SOLDIC16.pdf
58
Exámenes - SOLFEB17.pdf
2 páginas
61
Apuntes - Como-interpretar-el-datasheet.pdf
1 página
60
Apuntes - Ejercicios-UD-1.pdf
66