chevron_left
chevron_right
Todo
Apuntes
Ejercicios
chevron_left
chevron_right

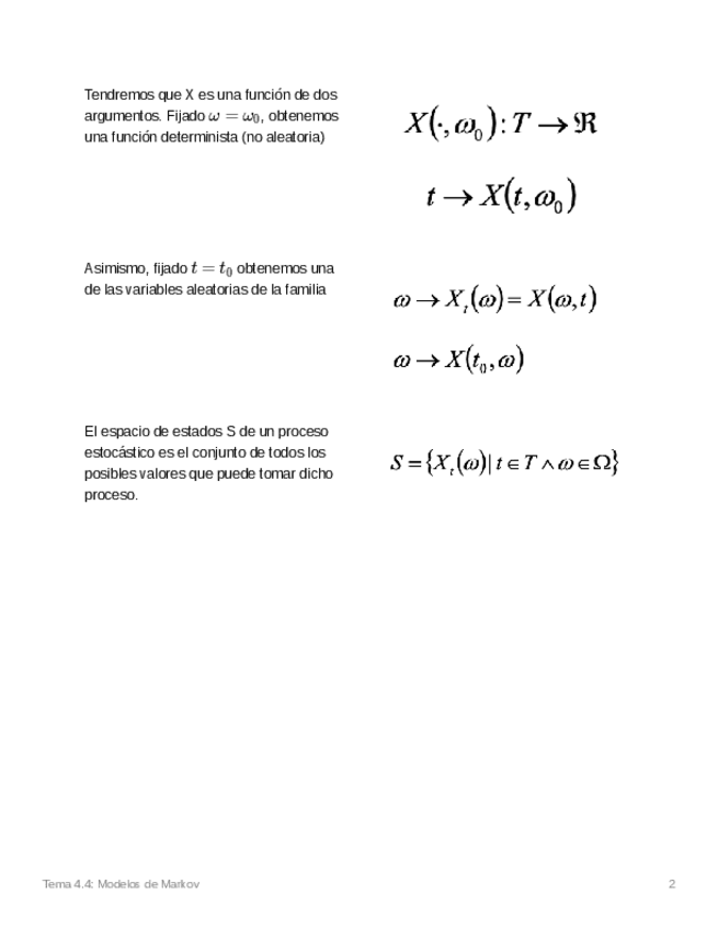
He publicado nuevos apuntes de 3º Inteligencia Artificial: Tema-4-4-Modelos-de-Markov-8367a0ea1f6344288314756047880fcf.pdf

14 páginas

He publicado nuevos apuntes de 3º Inteligencia Artificial: Tema-4-5-Fuzzy-bedc1e684d234764a24290541fea4458.pdf

16 páginas

He publicado nuevos apuntes de 3º Inteligencia Artificial: Tema-3-2-Busqueda-heuristica-efe6168931b94716b4e766ac41493fdf.pdf

6 páginas

He publicado nuevos apuntes de 3º Inteligencia Artificial: Tema-4-3-Redes-bayesianas-ee144a4f70414df58ade2ff6fd7dccea.pdf

15 páginas

He publicado nuevos apuntes de 3º Inteligencia Artificial: Tema-4-2-Razonamiento-bayesiano-44c0474037c8483d8b72a861f3836a7a.pdf

9 páginas

He publicado nuevos apuntes de 3º Inteligencia Artificial: Tema-4-1-Incertidumbre-7512e83f4c27439fa0623f23903ae72b.pdf

5 páginas

He publicado nuevos apuntes de 3º Inteligencia Artificial: Tema-2-Sistemas-de-produccion-Representacion-d5b9c71a99a948689b0462d7d6d8ff36.pdf

8 páginas

He publicado nuevos apuntes de 3º Inteligencia Artificial: Tema-3-1-Busqueda-ciega-o-no-informada-6f43f4524cd943dd9205e81af6dcc24a.pdf

6 páginas

ejercicios

-

Ejercicios IA tipo examen Por temas

He publicado nuevos ejercicios de 3º Inteligencia Artificial: Ejercicios IA tipo examen Por temas

EJERCICIOS-DE-REDES-BAYESIANAS.pdf
EJERCICIOS-DE-MODELOS-DE-MARKOV.pdf
EJERCICIOS-DE-LOGICA-FUZZY.pdf
EJERCICIOS-DE-INFERENCIA.pdf
¡Estás al día!

¡Estás al día!

Has visto todos los archivos