Portada
Asignatura
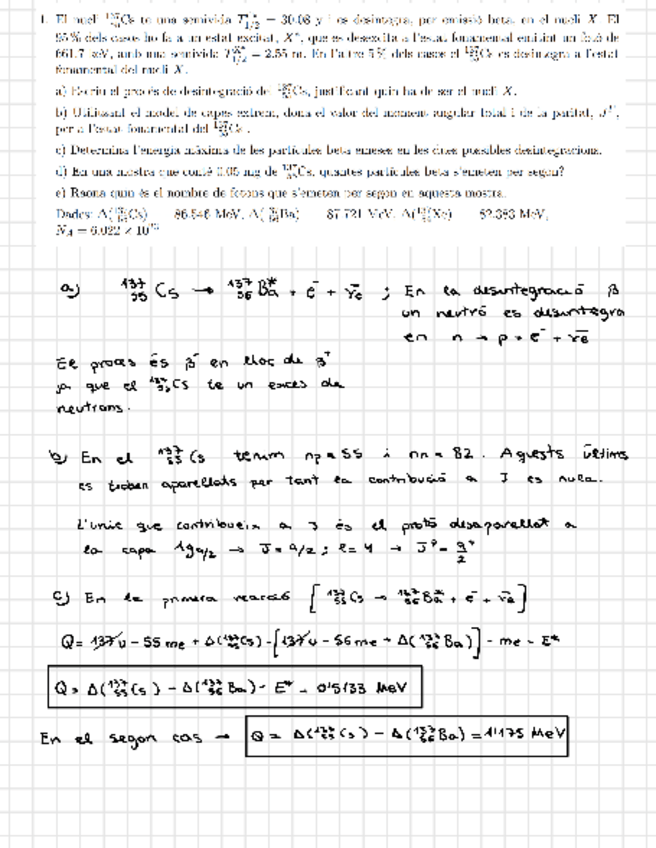
Grado en Física (UAB)
Introducció a la Física Nuclear i de Partícules
Fecha de subida
04 feb 2025
Categoría
examenes
Etiquetas
Exámenes - Gener-2020.pdf
pdf
10 páginas
5
0
Exámenes - Gener-2023.pdf
8 páginas
4
Exámenes - Desembre-2022.pdf
3 páginas
Exámenes - Juny-2024.pdf
3
Exámenes - Desembre-2023.pdf
Exámenes - Novembre-2021-T1.pdf
Exámenes - Gener-2024.pdf
Exámenes - Juny-2023.pdf
7 páginas
Ejercicios - Problemas-nuclis-i-forces-atomiques.pdf
14 páginas
1
Ejercicios - Problemas-model-de-capes.pdf
2
Ejercicios - Estabilitat-i-espectrometria-nuclear.pdf
11 páginas
Ejercicios - Nuclis-i-forces-nuclears.pdf
Ejercicios - Constituents-interaccio-i-simetries.pdf
4 páginas
Ejercicios - Model-de-capes.pdf
Apuntes - Parcial-novembre-2021-T1.pdf