Portada
Asignatura
Doble Grado en Matemáticas y ADE (UB)
Introducció al Càlcul Diferencial
Fecha de subida
24 feb 2023
Categoría
ejercicios
Etiquetas
Apuntes - apuntes-1.pdf
pdf
56 páginas
3
0
Exámenes - icd21-22.prova.limits.pdf
1 página
2
Apuntes - teoria.tema1.pdf
12 páginas
Apuntes - teoria.tema2.pdf
19 páginas
1
Apuntes - teoria.tema3.pdf
8 páginas
Apuntes - teoria.tema4.pdf
14 páginas
Apuntes - teoria.tema5.pdf
7 páginas
Apuntes - teoria.tema6.pdf
17 páginas
Ejercicios - problemes-resolts-12-teorics-derivades.pdf
Exámenes - Solucio-prova-2-Grup-TG.pdf
4 páginas
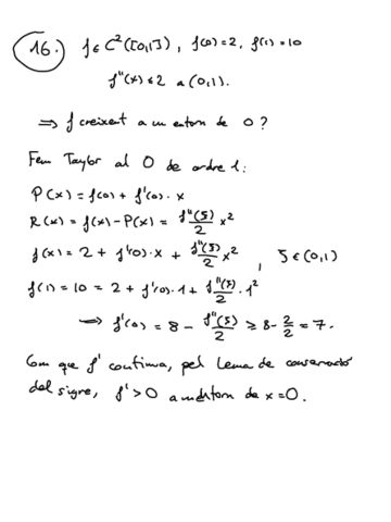
Ejercicios - problemes-resolts-13-Taylor.pdf
Ejercicios - problemes-resolts-14-Taylor-2.pdf
10 páginas
Exámenes - parcial.p1-1.pdf
Exámenes - Prova2GrupMABharti.pdf
Exámenes - Prova2GrupMASolucio.pdf
2 páginas
Exámenes - Prova2GrupMCBharti.pdf
Exámenes - Prova2GrupMCSolucio.pdf
Exámenes - Prova2MB-DimartsDavid.pdf
Exámenes - Prova2TG-DimecresDavid.pdf
Exámenes - Solucio-prova-2-Grup-MB.pdf
3 páginas