Introducción a la Inferencia Estadística
He publicado nuevos apuntes de 2º Introducción a la Inferencia Estadística: TODO-EL-TEMARIO.pdf
5 ejercicios resueltos de inferencia paramétrica (tema 4)
DOS EJERCICIOS RESUELTOS DE PRUEBAS DE HOMOGENEIDAD Y DE INDEPENDENCIA (TEMA 5)
4 EJERCICIOS DE INFERENCIA NO PARAMÉTRICA SOBRE pruebas de ajuste
He publicado nuevos apuntes de 2º Introducción a la Inferencia Estadística: Tema-1.-apuntes-para-examen-muy-completos-INFERENCIA-ESTADISTICA..pdf
He publicado nuevos apuntes de 2º Introducción a la Inferencia Estadística: examen-inferencia-2018-resuelto.pdf
He publicado nuevos examenes de 2º Introducción a la Inferencia Estadística: examen-inferencia-2019-resuelto.pdf
He publicado nuevos ejercicios de 2º Introducción a la Inferencia Estadística: INF-EST-T5.PDF
He publicado nuevos examenes de 2º Introducción a la Inferencia Estadística: Examen-de-junio-2025-resuelto.pdf
He publicado nuevos examenes de 2º Introducción a la Inferencia Estadística: Examen-enero-2025-resuelto.pdf
He publicado nuevos ejercicios de 2º Introducción a la Inferencia Estadística: TEMA-3-EJERCICIOS-Y-SOL.pdf
He publicado nuevos ejercicios de 2º Introducción a la Inferencia Estadística: TEMA-2-EJERCICIOS-Y-SOL.pdf
He publicado nuevos ejercicios de 2º Introducción a la Inferencia Estadística: TEMA-1-EJERCICIOS-Y-SOL.pdf
He publicado nuevos apuntes de 2º Introducción a la Inferencia Estadística: TEMA-5-INFERENCIA.pdf
He publicado nuevos apuntes de 2º Introducción a la Inferencia Estadística: TEMA-4-INFERENCIA--TABLAS.pdf
ejercicios
-
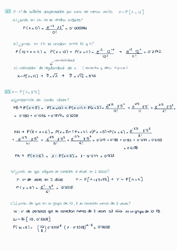
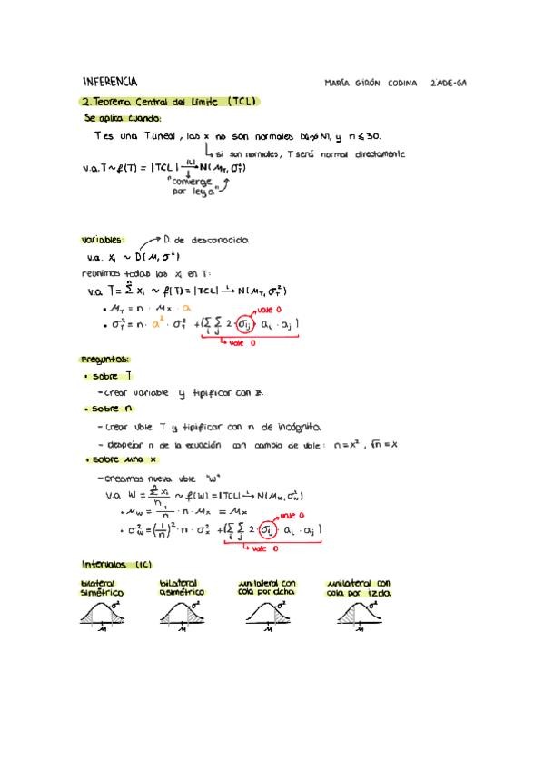
Ejercicios resueltos TCL
He publicado nuevos ejercicios de 2º Introducción a la Inferencia Estadística: Ejercicios resueltos TCL
He publicado nuevos apuntes de 2º Introducción a la Inferencia Estadística: TEMA-2-INFERENCIA-ESTADISTICA.pdf
He publicado nuevos apuntes de 2º Introducción a la Inferencia Estadística: TEMA-1-INFERENCIA-ESTADISTICA.pdf
Alguien tiene las tablas necesarias para el examen de Introducción a la Inferencia Estadística?
He publicado nuevos ejercicios de 2º Introducción a la Inferencia Estadística: INF-EST-EJ-T4.pdf
He publicado nuevos apuntes de 2º Introducción a la Inferencia Estadística: examen.docx
He publicado nuevos ejercicios de 2º Introducción a la Inferencia Estadística: INF-EST-EJ-TEMA-3.pdf
He publicado nuevos apuntes de 2º Introducción a la Inferencia Estadística: EXAMEN-Junio-2022.docx
clases de introduccion a la inferencia estadistica
clases particulares o en grupo. 678597538
He publicado nuevos examenes de 2º Introducción a la Inferencia Estadística: INF-EXAMEN-Enero-24-solucion.pdf
He publicado nuevos apuntes de 2º Introducción a la Inferencia Estadística: INF-EST-EJ-TEMA-2.pdf
He publicado nuevos apuntes de 2º Introducción a la Inferencia Estadística: RESUMEN-INFERENCIA-T1-y-T2.pdf
He publicado nuevos ejercicios de 2º Introducción a la Inferencia Estadística: EJERCICIOS-PROPUESTOS-TCL-T2-INFERENCIA.pdf
He publicado nuevos ejercicios de 2º Introducción a la Inferencia Estadística: INF-EST-T1.pdf
apuntes
-
Examenes anteriores
He publicado nuevos apuntes de 2º Introducción a la Inferencia Estadística: Examenes anteriores
He publicado nuevos apuntes de 2º Introducción a la Inferencia Estadística: EJERCICIOS-PROPUESTOS-BINORMALIDAD.pdf
He publicado nuevos apuntes de 2º Introducción a la Inferencia Estadística: Inferencia-Estadistica-2.pdf
Curso online Introducción a la Inferencia Estadística ADE UV - Estadistix
