Portada
Asignatura
Ingeniería de Alimentos (USACH)
Introducción a la Ingeniería de Alimentos
Fecha de subida
23 jun 2023
Categoría
examenes
Información
Aquí encontrarás controles de algunas asignaturas
Etiquetas
Apuntes - apuntes-tecnologia-leches-parte-3-TEA.pdf
pdf
6 páginas
1
0
Apuntes - apuntes-tecnologia-leches-parte-2-TEA.pdf
8 páginas
Apuntes - Bernoulli-guia-fisica-II-INGAL.pdf
Apuntes - apuntes-y-1-ejercicio-termodinamica-INGAL.pdf
Apuntes - apuntes-tecnologia-leches-parte-4-TEA.pdf
3 páginas
2
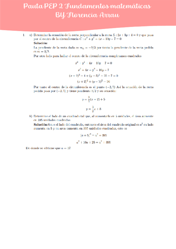
Ejercicios - guia-teoria-de-conjuntos-fundamentos-matematicas.pdf
2 páginas
Ejercicios - guia-vectores-FISICA-I.pdf
1 página
Ejercicios - guia-sumatoria-fundamento-matematicas.pdf
Ejercicios - guia-calor-y-temperatura-fisica-I.pdf
Ejercicios - guia-cinematica-con-soluciones-FISICA-I.pdf
Exámenes - Control-FUNDA-II-ano-2021.pdf
4 páginas
Exámenes - Para-PEP-2-toxicologia.pdf
25 páginas
Apuntes - INFORME-2-ING-2-CON-CORRECCIONES.pdf
11 páginas
Apuntes - INFORME-3-ING-2-CON-CORRECCIONES.pdf
12 páginas
Apuntes - INFORME-4-ING-2-CON-CORRECCIONES.pdf
16 páginas
Apuntes - Informe-2-propiedades-fisicas.pdf
7 páginas
Apuntes - informe-3-analisis-instrumental-volumetria-formacion-complejo.pdf
10 páginas
Apuntes - resumen-para-pep-1-topicos.pdf
9 páginas
Apuntes - Seminario-prop-fisicas-presentacion-grupo-ARRAU.pdf
Apuntes - apuntes-economia-parte-4-INGAL.pdf
Información
Aquí encontrarás controles de algunas asignaturas