Anónimo
Portada
Asignatura
Grado en Administración y Dirección de Empresas (UGR)
Introducción a las Operaciones Financieras
Fecha de subida
04 ene 2019
Categoría
apuntes
Etiquetas
Apuntes - Relacion-2-IOF-tema-3.pdf
pdf
13 páginas
104
1
Apuntes - Relacion-3-IOF-tema-4.pdf
9 páginas
68
2
Apuntes - RECOPILACIAN-TEORAA-IOF-.pdf
5 páginas
78
0
Apuntes - Relacion-4-IOF-tema-5.pdf
20 páginas
61
Apuntes - Relacion-1-IOF-tema-2.pdf
8 páginas
59
Apuntes - Tema 5 IOF año2017-18.pdf
22 páginas
56
Apuntes - Tema2 IOF año2017-18.pdf
19 páginas
58
Apuntes - Bloc-de-notas-sin-titulo.pdf
11 páginas
41
Apuntes - TEORIA-IOF-ADE.pdf
10 páginas
32
Apuntes - Tema 4. Leyes compuestas y leyes continuas.pdf
40
Apuntes - Tema 6. Préstamos.pdf
3 páginas
Apuntes - Tema3 IOF año2017-18.pdf
32 páginas
60
Apuntes - Tema 4 IOF año2017-18.pdf
16 páginas
42
Apuntes - Tema 3. Operaciones a corto plazo; Ejercicios resueltos y formulario..pdf
7 páginas
35
Apuntes - Ejercicios resueltos IOF relación tema 2..pdf
6 páginas
34
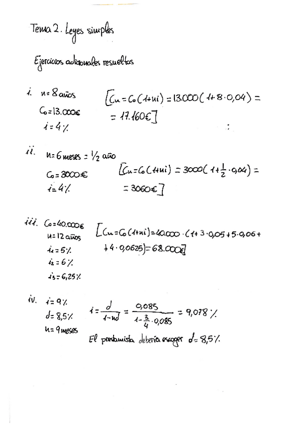
Apuntes - Tema 2. Ejercicios adicionales resueltos.pdf
2 páginas
16
Apuntes - Tema1 IOF año2017-18.pdf
48
Apuntes - 397389704-Matematicas-Financieras-Juan-Garcia-Boza.pdf
728 páginas
Apuntes - material-teoria-introducc-mof-2012-13-adeit.pdf
34 páginas
17
Apuntes - 286482759-Matematicas-Financieras-Schaum.pdf
410 páginas
10