Portada
Asignatura
Grado en Administración y Dirección de Empresas (UJAEN)
Investigación Operativa
Fecha de subida
28 oct 2025
Categoría
apuntes
Etiquetas
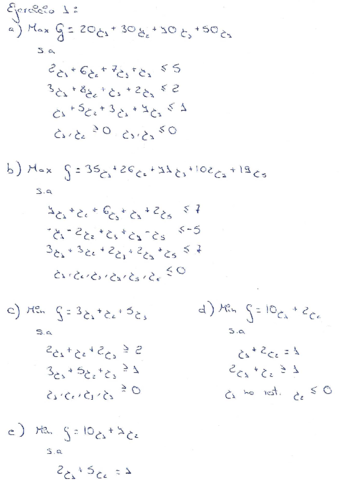
Exámenes - investigacio.jpg
jpg
105
4
Exámenes - Exjunio20.pdf
pdf
2 páginas
186
5
Exámenes - inves2.jpg
82
3
Exámenes - Exenero20.pdf
155
Apuntes - TEMA 1OPERATIVA.docx
docx
15
0
Exámenes - Examen-IO-24-25-Ordinaria.pdf
122
1
Ejercicios - autoevaluacion-metas.xlsx
xlsx
24
Ejercicios - RELACION42021RESUELTA.pdf
8 páginas
39
Apuntes - primerparcialjueves31TIPOBresuelto.pdf
5 páginas
68
Ejercicios - R3c.pdf
11 páginas
85
2
Ejercicios - EJERCICIOS-SOLUCIONES-INVESTIGACION-OPER.pdf
45 páginas
Apuntes - Tema-3.pdf
13 páginas
55
Ejercicios - relacion52021resuelta.pdf
6 páginas
26
Apuntes - primerparcialjueves31TIPOAresuelto.pdf
60
Exámenes - wuolah-free-Exenero20-gulag-free.pdf
65
Ejercicios - Relacion-3resuelta.pdf
46
Exámenes - Tercerparcialmuestraresueltos.pdf
45
Ejercicios - Practica-1-de-Inv-operativa.xlsx
17
Ejercicios - relacion-2-resuelta.pdf
10 páginas
47
Exámenes - 2o-parcial-muestra-1-resuelto-TEMA-4.pdf
52