Portada
Asignatura
Grado en Química (UGR)
Laboratorio de Química Orgánica
Fecha de subida
18 sep 2023
Categoría
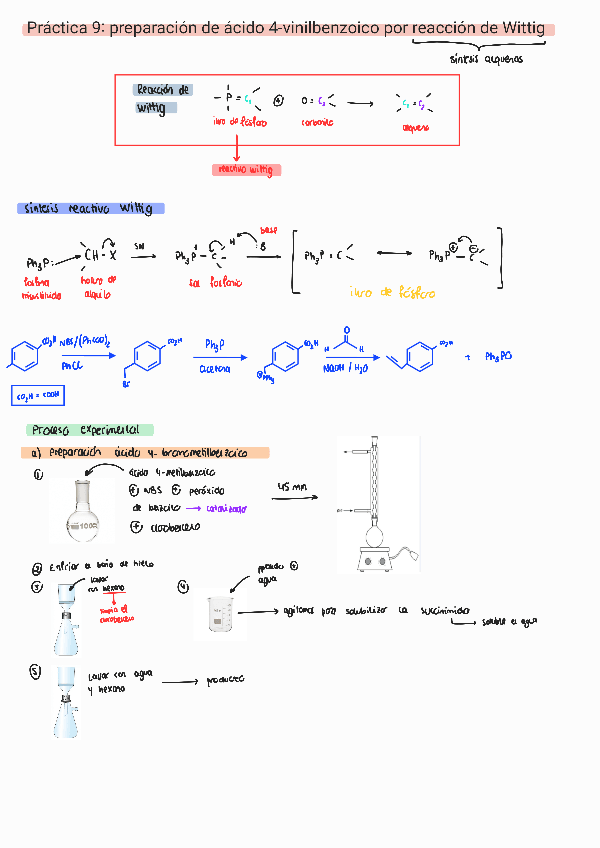
apuntes
Información
saqué sobresaliente :)
Etiquetas
Apuntes - Cuaderno-de-laboratorio.docx
docx
130
0
85
Apuntes - Cuaderno-Laboratorio-.pdf
pdf
24 páginas
107
4
Apuntes - Documentos-escaneados.pdf
227
Apuntes - Cuaderno-Laboratorio-Organica-.pdf
41 páginas
206
2
Apuntes - Documentos-escaneados-1.pdf
15 páginas
122
1
Apuntes - Ejercicios-resueltos-espectroscopia.pdf
0 páginas
87
Apuntes - Resumen-de-todas-las-practicas.pdf
8 páginas
48
Apuntes - P1.pdf
3 páginas
44
Exámenes - Examen-RMN-ordinario-2324.pdf
69
Apuntes - ejercicios-espectros.pdf
9 páginas
98
Apuntes - P3.pdf
Apuntes - P5.pdf
2 páginas
36
Apuntes - P4.pdf
38
Apuntes - Preguntas para aprobar.pdf
6 páginas
3
Apuntes - P6.pdf
34
Exámenes - Examen-ordinario-1.pdf
1 página
63
5
Apuntes - P7.pdf
39
Prácticas - P1-sintesis-de-la-aspirina.pdf
5 páginas
72
Apuntes - P8.pdf
Información
saqué sobresaliente :)