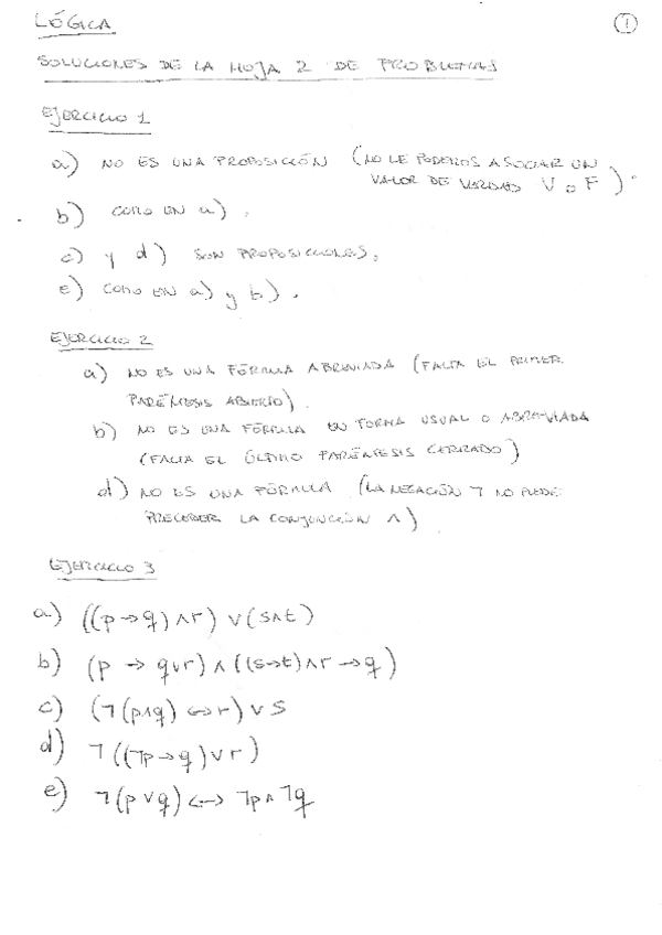
soluciones-hoja-2.pdf

annasuaareez

Ejercicios

9 archivos·

Carpeta con ejercicios y sus respectivas soluciones

Ejercicios-hoja-1.pdf

3 páginas

Soluciones-hoja-1.pdf

4 páginas

Hoja2.pdf

3 páginas

Hoja3.pdf

5 páginas

Hoja4.pdf

3 páginas

soluciones-hoja-2.pdf

8 páginas

soluciones-hoja-3.2.pdf

10 páginas

soluciones-hoja-3.pdf

14 páginas

Hoja5.pdf

3 páginas

content_copy

Archivos recomendados