Portada
Asignatura
Doble Grado en Ingeniería Informática e Ingeniería del Software (URJC)
Lógica
Fecha de subida
31 mar 2023
Categoría
ejercicios
Etiquetas
Ejercicios - solHoja4LOG.pdf
pdf
0 páginas
4
0
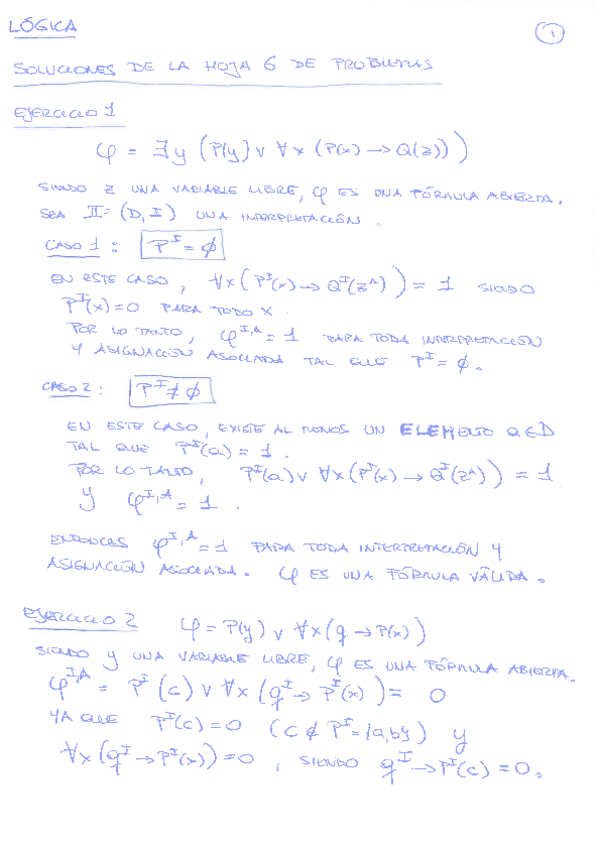
Ejercicios - Hoja6-t2b3.pdf
Ejercicios - Hoja4-t3b2.pdf
Ejercicios - SOLTEST2.pdf
2 páginas
Ejercicios - solHoja5LOG.pdf
10 páginas
Exámenes - solexparc21617-1.pdf
4 páginas
2
Ejercicios - ejslogica.pdf
31 páginas
3
Exámenes - exparc21516-1.pdf
Exámenes - SOLC2LOG20152016-1.pdf
Exámenes - solexparc21718-2.pdf
3 páginas
Exámenes - solexparc21920-2.pdf
Exámenes - solparc2201819-3.pdf
Exámenes - exparc21920-1.pdf
1
Exámenes - exparc21819-1.pdf
1 página
Exámenes - exparc21718-2.pdf
Exámenes - exparc21617-1.pdf
Exámenes - Logicasoft1617parcial1.pdf
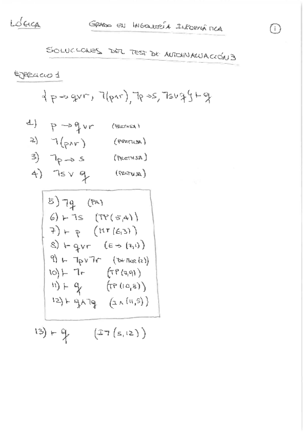
Ejercicios - TEST3.pdf