Note-5-Apr-2026.pdf

dtg0601

Tareas con soluciones

17 archivos·

Enunciados y soluciones

Tarea7.pdf

4 páginas

Tarea6-2.pdf

6 páginas

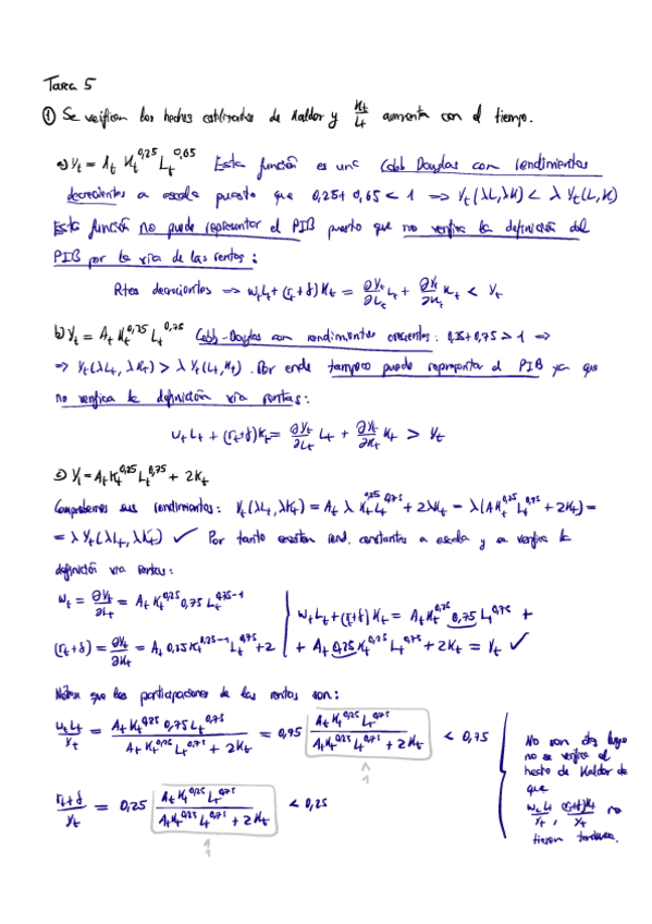
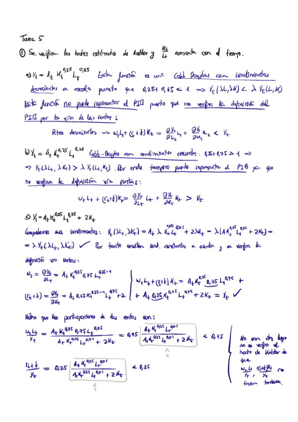
Tarea5.pdf

3 páginas

Tarea4-2.pdf

4 páginas

TAREA0M3-2.pdf

8 páginas

TAREA1M3-1-1-3.pdf

6 páginas

Tarea3-3.pdf

5 páginas

Tarea-4.pdf

6 páginas

Tarea-3.pdf

9 páginas

Note-17-Mar-2025-2-2.pdf

5 páginas

Note-5-Apr-2026.pdf

3 páginas

Note-5-Apr-2025-2-2.pdf

2 páginas

ENUNCIADOTarea2.pdf

5 páginas

ENUNCIADOTarea1c.pdf

2 páginas

ENUNCIADOTarea1b.pdf

2 páginas

ENUNCIADOTarea1a.pdf

1 página

ENUNCIADOTarea0.pdf

1 página

content_copy

Archivos recomendados