Portada
Asignatura
Doble Grado en Administración y Dirección de Empresas, Finanzas y Contabilidad (UHU)
Macroeconomía Intermedia
Fecha de subida
24 oct 2019
Categoría
examenes
Etiquetas
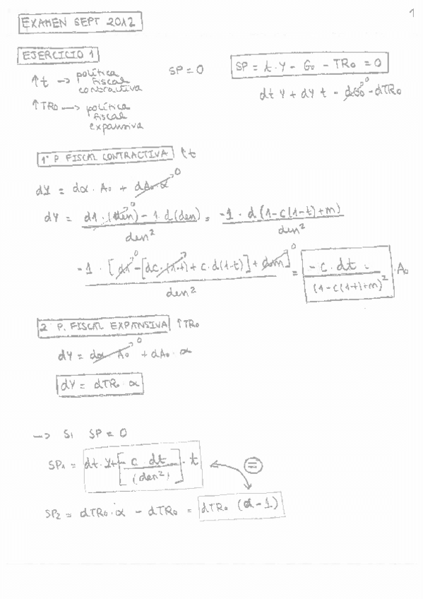
Apuntes - Modelo-IS-LM.pdf
pdf
4 páginas
135
4
Apuntes - Macroeconomía Intermedia-E. Congregado.pdf
151 páginas
63
Apuntes - Resumen-Macro.pdf
10 páginas
67
Apuntes - Modelo-Keynesiano-Basico.pdf
2 páginas
104
2
Apuntes - Modelo-OA-DA.pdf
Apuntes - Modelo-OAD-DAD.pdf
3 páginas
78
1
Apuntes - Modelo-Mundell-Fleming.pdf
93
Apuntes - Modelo-de-Solow.pdf
84
Apuntes - Apuntes-y-ejercicios-de-examen.pdf
42 páginas
37
Apuntes - Set-2-resuelto.pdf
5 páginas
Apuntes - Set-1-resuelto.pdf
Exámenes - EXAMEN-INCIDENCIAS-2018.pdf
6 páginas
70
0
Apuntes - Set-3-resuelto.pdf
Apuntes - MODELO-KEYNESIANO.pdf
43
Apuntes - teoria macro intermedia.pdf
27 páginas
41
Apuntes - Resumen de toda la asignatura.pdf
100 páginas
90
Prácticas - Sesion-4-L4Datos.xlsx
xlsx
39
Exámenes - examen-febrero-2014.pdf
59
Apuntes - tema-2-macrointermedia.pdf
14 páginas
42
Apuntes - Teoria-completa-macro-y-ejemplos.pdf
20 páginas
29